import matplotlib.pyplot as plt
import numpy as np
import pandas as pd
df = pd.DataFrame(np.random.rand(6, 4),
index=['one', 'two', 'three', 'four', 'five', 'six'],
columns=pd.Index(['A', 'B', 'C', 'D'], name='Genus'))
df.plot.bar()
plt.savefig("easyplot.jpg")
df.plot.barh(stacked=True, alpha=0.5) #横着画图
plt.savefig("easyplot1.jpg")
plt.show()
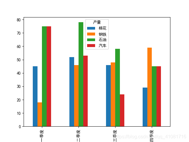
注意产生的数据为:6*4


| 棉花 | 钢铁 | 石油 | 汽车 |
| 45 | 18 | 75 | 75 |
| 52 | 46 | 78 | 53 |
| 46 | 48 | 58 | 24 |
| 29 | 59 | 45 | 45 |
import pandas as pd
import matplotlib.pyplot as plt
from pylab import *
mpl.rcParams['font.sans-serif'] = ['SimHei']
excelFile = r'C:/Users/admin/Desktop/2019.10.05/柱状图/柱状图/多组/四个季度.xlsx'
df = pd.DataFrame(pd.read_excel(excelFile))
df=df.values #转化为numpy类型,数据排列顺序不变
print(df)
#为数据添加行索引和列索引
df = pd.DataFrame(df,
index=['第一季度', '第二季度', '第三季度', '第四季度'],
columns=pd.Index(['棉花', '钢铁', '石油', '汽车'], name='产量'))
df.plot.bar()
plt.savefig("easyplot.jpg")
plt.show()
df.plot.barh(stacked=True, alpha=0.5) #图片横着放
plt.savefig("easyplot1.jpg")
plt.show()


580

被折叠的 条评论
为什么被折叠?



