16.1 数据结构及算法应用前言
属于下午题中的难题
掌握:基本的填空题,拿到6~8分即可

16.2 分治法

- 思想:将一个大的,难的问题分解成若干个小问题,小问题解决完之后,再将这些小问题进行合并,得到原来初始问题的解决方案。
- 时间复杂度【O(nlgn)】
16.3 分治法(递归技术>需要掌握)



16.4 分治法(二分查找)
二分查找是分治法的具体应用
二分查找利用分治法的思想来做的

16.5 回溯法
深度优先搜索法
可以用来解决:迷宫问题
- 通过回溯法我们可以把所有的解探出来
- 也可以探出一个解(我们的目标)

- 时间复杂度:O(n!)
- O(n!)表示当n增大时,所需的时间增长数量级的指数是n的阶乘。例如,当n从1增加到2时,时间复杂度为O(2!) = O(2*1) = O(2),当n从2增加到3时,时间复杂度为O(3!) = O(6),当n从3增加到4时,时间复杂度为O(4!) = O(24)。
16.6 贪心法

思想与试题判断:每一步都能选到最好的东西【每一步都取最优】,往往能得到一个不错的结果,但是很难达到最优解【画有限的时间,找到一个令人满意的解】
- 贪多,贪好
- 时间复杂度:O(n^2)
可以用来解决:背包问题

- 问:有三个物分别是不同的价格,我们只有一个容量70的背包,我们希望背包能尽可能背更多的东西,容量达到最高值,价值达到最高。
- 考虑流程:
- 单位物品价值高的,优先拿
- 贪心法:先拿20,再拿30,就拿不了40了,所以结果就是320元
- 最优解:应该是30和40,结果是380元
- 注:如果可以重复最优方案是2个物1,一个物2,结果是420元
16.7 动态规划法

动态规划法与分治法如何区分
动态规划法:基本上都要用到查表的方式来解决问题
- 拆出的子问题不一定是独立的,我们会把子问题的解,一个一个存下来,在求更复杂解的时候,可以通过查表的方式来得到后面的问题
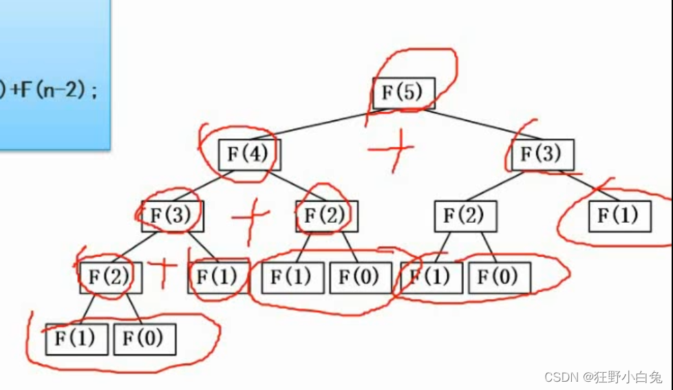
以斐波那契数列为例
动态规划法会将每一个值求出来存到一个数组里,当求后面一项的时候,只需要查表将表中前两项的值拿出来得到后面的值即可。
自底向上和自顶向下的时间复杂度
自底向上【常用】:O(n^k),其中有几个for循环,k的值就是多少
自顶向下:O(2^n)
例题讲解【2017上,62】
题目





解题一


解题二

16.8总结
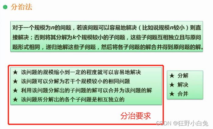
- 1、分治法特征:对于一个规模为n的问题,若该问题可以容易地解决(比如说规模n较小)则直接解决;否则将其分解为k个规模较小的子问题,这些子问题互相独立且与原问题形式相同,递归地解这些子问题,然后将各子问题的解合并得到原问题的解。
- 2、动态规划法[对于得到一个最优解是动态规划的特点]:在求解问题中,对于每一步决策,列出各种可能的局部解,再依据某种判定条件,舍弃那些肯定不能得到最优解的局部解,在每一步都经过筛选,以每一步都是最优解来保证全局是最优解。本题情景没有列出所有的可能解进行筛选,因此,本题不属于动态规划法。
- 3、回溯法[可以得到问题所有的最优解,是回溯法的特征]:回溯法是一种选优搜索法,按选优条件向前搜索,以达到目标。但当搜索到某一步时,发现原先选择并不优或达不到目标,就退回一步重新选择。这种走不通就退回再走的技术就是回溯法。本题情景没有探索和回退的过程,因此,本题不属于回溯法。
- 4、贪心法:总是做出在当前来说是最好的选择,而并不从整体上加以考虑,它所做的每步选择只是当前步骤的局部最优选择,但从整体来说不一定是最优的选择。由于它不必为了寻找最优解而穷尽所有可能解,因此其耗费时间少,一般可以快速得到满意的解,但得不到最优解。
- 5、分治界限法:类似于回溯法,也是一种在问题的解空间树T上搜索问题解的算法,但在一般情况下,分支界限法与回溯法的求解目标不同。分支界限法的求解目标是****找出满足约束条件的一个解即可。由于求解目标不同,其探索方式与回溯法也不同,分支界限法以广度优先或以最小耗费优先的方式搜索解空间树。
例题讲解【2021上】




本文深入剖析了八大核心算法思想,包括分治法、回溯法、贪心法与动态规划法等,通过实例讲解每种算法的特点及其应用场景,帮助读者理解并掌握这些算法的基本原理。


被折叠的 条评论
为什么被折叠?



