两个链接列表的交集
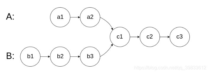
编写程序以找到两个单链表开头的节点。例如,以下两个链表:

开始在节点c1处相交。
解法一:
public class Solution {
public ListNode getIntersectionNode(ListNode headA, ListNode headB) {
if(headA == null || headB == null){
return null;
}
int a = 0;
int b = 0;
int res = 0;
ListNode acur = headA;
ListNode bcur = headB;
while(acur != null){
a++;
acur = acur.next;
}
while(bcur != null){
b++;
bcur = bcur.next;
}
res = Math.abs(a-b);
if(res == 0){
//a == b == 1
if(headB == headA){
return headB;
}
}
if(a>b){
while(res != 0){
headA = headA.next;
res--;
}
}else{
while(res != 0){
headB = headB.next;
res--;
}
}
while(headA != headB){
headA = headA.next;
headB = headB.next;
}
return headA;
}
}
解法二:
HashMap<ListNode,Integer> map = new HashMap<ListNode,Integer>();
ListNode current1 = headA;
ListNode current2 = headB;
while(current1!=null){
map.put(current1,current1.val);
current1 = current1.next;
}
while(current2!=null){
if(map.containsKey(current2)){
return current2;
}else{
map.put(current1,current2.val);
}
current2 = current2.next;
}
return null;
用到的函数解释:
containsKey
boolean containsKey(Object key)如果此映射包含指定键的映射关系,则返回 true。更确切地讲,当且仅当此映射包含针对满足 (key==null ? k==null : key.equals(k)) 的键 k 的映射关系时,返回 true。(最多只能有一个这样的映射关系)。
参数:
key - 测试是否存在于此映射中的键
返回:
如果此映射包含指定键的映射关系,则返回 true
抛出:
ClassCastException - 如果该键对于此映射是不合适的类型(可选)
NullPointerException - 如果指定键为 null 并且此映射不允许 null 键(可选)
containsValue
boolean containsValue(Object value)如果此映射将一个或多个键映射到指定值,则返回 true。更确切地讲,当且仅当此映射至少包含一个对满足 (value==null ? v==null : value.equals(v)) 的值 v 的映射关系时,返回 true。对于大多数 Map 接口的实现而言,此操作需要的时间可能与映射大小呈线性关系。
参数:
value - 测试是否存在于此映射中的值
返回:
如果此映射将一个或多个键映射到指定值,则返回 true
抛出:
ClassCastException - 如果该值对于此映射是不合适的类型(可选)
NullPointerException - 如果指定值为 null 并且此映射不允许 null 值(可选)
目标:每天一道算法题,今天是开始。
时间:2019-5-28
已完成:1道
博客主要围绕两个链接列表的交集展开,介绍了两种解法,还提及用到的函数解释。目标是每天做一道算法题,当天已完成1道,日期为2019年5月28日。
807

被折叠的 条评论
为什么被折叠?



