二叉树
概念
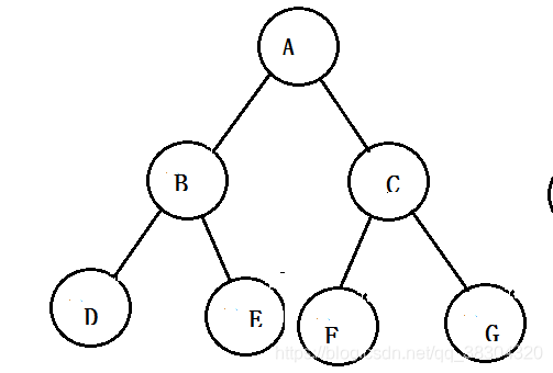
二叉树是n(n>=0)个节点的有限集合,该集合或者为空集(即空二叉树),或者有一个根节点和俩棵互不相交的,分别称为根节点的左右子树组成,
如图所示:

Note:
1.二叉树的每个结点的度<=2
2.左右子树是有顺序的,次序不能够颠倒。
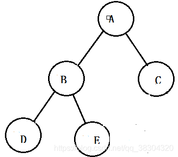
下面是俩棵不同的二叉树

二叉树的性质:
1.在二叉树的第n层中,至多有2^(n-1)个结点(n>0)
2.深度为k的二叉树至多有2^K-1个结点(k>=1)
3.对于任何一个二叉树T ,如果其终端结点数(叶子节点)为n0,度为2的结点数为n2
则 n0 =n2+1
4.具有n个结点的完全二叉树的深度为

5.如果对一颗有n个结点的完全二叉树(其深度为以上图所示)的结点按层序编号,对于任一节点i(1<=i<=n)有一下性质:
如果i=1,则节点i是二叉树的跟,无双亲;如果i>1,则其双亲是节点|_ i/2 _|
如果2i>n,则节点i 无左孩子(节点i为叶子节点); 否则其左孩子是结点2i
如果2i+1>n ,则结点i无右孩子,否则其右孩子是结点2i+1
特殊的二叉树:
满二叉树
在一棵二叉树中,如果所有的分支结点都存在左右子树,并且所有叶子结点都存在同一层,这样的数称之为满二叉树。
如图所示

满二叉树的特点
叶子只能出现最下一层
非叶子节点的度一定是2
在同样深度的二叉树中,满二叉树的结点个数一定是最多,同时叶子结点也是最多
完全二叉树
对一颗具有n个节点的二叉树按层序进行编号,如果编号为i(1<=i<=n)的结点与同样深度的满二叉树中编号为i的结点位置完全相同,则这颗二叉树称为完全二叉树

完全二叉树特点
叶子结点只能出现最下2层
最下层的叶子一定集中在左部连续位置
倒数第二层,如有叶子结点,一定都在右部连续位置
如果结点度为1,则该节点只有左孩子
同样的结点树的二叉树,完全二叉树的深度最小。
满二叉树一定是完全二叉树,但完全二叉树不一定是满二叉树
一道关于二叉树的例题:
如果一个完全二叉树的结点总数为349个,求叶子结点的个数。
由二叉树的性质知:n0=n2+1,将之带入349=n0+n1+n2中得:349=n1+2n2+1,因为完全二叉树度为1的结点个数要么为0,要么为0,那么就把n1=0或者1都代入公式中,很容易发现n1=1才符合条件。
。所以算出来n2=174,所以叶子结点个数n0=n2+1=175。
由此我们可以推断:
如果一棵完全二叉树的结点总数为n,那么叶子结点等于n/2(当n为偶数时)或者(n+1)/2(当n为奇数时)
二叉树的遍历
二叉树的遍历主要有3种方式,分别是前序遍历,中序遍历,以及后序遍历
前,中 , 后,主要是针对根节点来说的。
主要是靠递归进行实现的

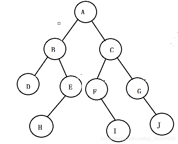
对于以上图:
前序遍历: A B D E H C F I G J
中序遍历 : D B H E A F I C G J
后序遍历: D H E B I F J G C A
824

被折叠的 条评论
为什么被折叠?



