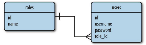
我在学习《Flask Web开发——基于Python的Web应用开发实践》这本书的第五章数据库的时候,发现作者在这里给出的代码是不全的,因为他只给User表中的username赋了值,而没有考虑对Role表的name赋值,

因为设计的数据库角色和用户是一对多的关系,用户表中包含一个角色id外键。在对用户表进行插入操作时,必须要确认一个用户角色,否则无法插入。
这是作者的示例代码,我们可以修改一下。

在py文件中的代码(重点)
#额外定义一个文本框,用于接收角色名信息
class NameForm(Form):
name = StringField('What is your name?',validators=[Required()])
role_name = StringField('What is your role name?', validators=[Required()])
submit = SubmitField('Submit')
#额外定义一个模型构造函数Role接收前台传来的数据,然后将他们添加到会话中
@app.route('/', methods=['GET', 'POST'])
def index():
form = NameForm()
if form.validate_on_submit():
user = User.query.filter_by(username=form.name.data).first()
if user is None:
role_name = Role(name=form.role_name.data)
user = User(username=form.name.data, role=role_name)
db.session.add_all([user,role_name])
session['known'] = False
else:
session['known'] = True
session['name'] = form.name.data
session['role_name']=form.role_name.data
form.name.data = ''
form.role_name.data = ""
return redirect(url_for('index'))
return render_template('index.html',
form = form, name = session.get('name'),role_name =session.get('role_name'),
known = session.get('known', False))
在index.html中的代码
{% extends "base.html" %}
{% import "bootstrap/wtf.html" as wtf %}
{% block title %}Flasky{% endblock %}
{% block page_content %}
<div class="page-header">
<h1>Hello, {% if name %}{{ name }},your role is {{role_name}}{% else %}Stranger{% endif %}!</h1>
{% if not known %}
<p>Pleased to meet you!</p>
{% else %}
<p>Happy to see you again!</p>
{% endif %}
</div>
{{ wtf.quick_form(form) }}
{% endblock %}
效果图






py文件完整代码
from flask_sqlalchemy import SQLAlchemy
from flask import Flask
from flask import render_template
from flask import session,redirect,url_for
from flask_bootstrap import Bootstrap
from flask_wtf import Form
from wtforms import StringField ,SubmitField
from wtforms.validators import Required
import os
basedir = os.path.abspath(os.path.dirname(__file__))
app = Flask(__name__)
boostrap = Bootstrap(app)
app.config['SECRET_KEY'] = 'hard to guess string'
app.config['SQLALCHEMY_DATABASE_URI']=\
'sqlite:///'+ os.path.join(basedir,'data.sqlite')
app.config['SQLALCHEMY_COMMIT_ON_TEARDOWN'] = True
app.config['SQLALCHEMY_TRACK_MODIFICATIONS'] = False
db = SQLAlchemy(app)
class NameForm(Form):
name = StringField('What is your name?',validators=[Required()])
role_name = StringField('What is your role name?', validators=[Required()])
submit = SubmitField('Submit')
#返回一个具有可读性的字符
#串表示模型,可在调试和测试时使用
class Role(db.Model):
__tablename__ = 'roles'
id = db.Column(db.Integer, primary_key=True)
name = db.Column(db.String(64), unique=True)
users = db.relationship('User',backref ='role',lazy='dynamic')
def __repr__(self):
return '<Role %r>' % self.name
class User(db.Model):
__tablename__ = 'users'
id = db.Column(db.Integer, primary_key=True)
username = db.Column(db.String(64), unique=True, index=True)
role_id = db.Column(db.Integer,db.ForeignKey("roles.id"))
def __repr__(self):
return '<User %r>' % self.username
@app.route('/', methods=['GET', 'POST'])
def index():
form = NameForm()
if form.validate_on_submit():
user = User.query.filter_by(username=form.name.data).first()
if user is None:
role_name = Role(name=form.role_name.data)
user = User(username=form.name.data, role=role_name)
db.session.add_all([user,role_name])
session['known'] = False
else:
session['known'] = True
session['name'] = form.name.data
session['role_name']=form.role_name.data
form.name.data = ''
form.role_name.data = ""
return redirect(url_for('index'))
return render_template('index.html',
form = form, name = session.get('name'),role_name =session.get('role_name'),
known = session.get('known', False))
if __name__=="__main__":
app.run(host='127.0.0.1',port=8080)
参考资料:
本文针对《FlaskWeb开发》一书中数据库章节的不足,详细介绍了如何在用户注册时同时创建角色,确保数据库的一对多关系正确建立。通过修改代码,实现了角色名的输入与保存,完善了用户表与角色表之间的关联。
791

被折叠的 条评论
为什么被折叠?



