- 博客(22)
- 问答 (1)
- 收藏
- 关注
原创 四川麻将胡牌
用1-9 一万到九万 10-18 一筒到九筒 19-27 一条到九条 这里就无视缺门了,缺门的问题很简单就不用我多说了。代码:<?php//1-9 一万到九万 10-18 一筒到九筒 19-27 一条到九条$paiArr = [1,1,1,1,2,2,2,2,3,3,3,3,4,4]; //123 123 123 123 44$paiArr1 = [1,2,2,2,3,3,3,...
2020-06-23 13:54:27
501
原创 Linux系统装机隐藏的坑
装redis无法连接/usr/sbin/setsebool httpd_can_network_connect=1装php无法写文件(设置777以及各种用户组也没用)vim /etc/sysconfig/selinuxSELINUX=enforcing 改为 SELINUX=disabledreboot...
2020-04-16 11:54:15
353
原创 大整数乘法(php实现)
输入两个整数,返回一个结果的字符串function mult($a, $b){ $a = (string)$a; $b = (string)$b; $res = []; $count = 0; for ($j = strlen($b) - 1; $j >= 0; $j--) { for ($tmp = 0; $tmp < $c...
2019-08-29 17:14:01
315
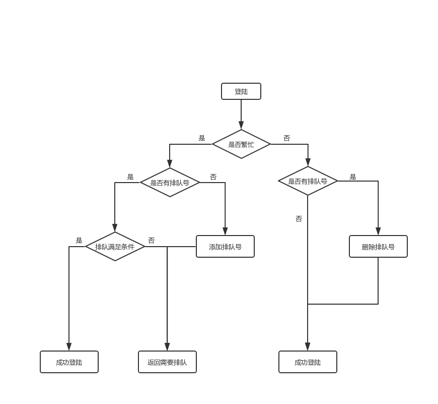
原创 基于redis的登陆排队系统
由于登陆需要读数据库,创建用户等一系列操作,非常耗时,为了保证登陆接口正常工作,在一些高并发场景下,登陆削峰非常重要,本文在基于redis这个高性能内存数据库的基础上,提供了一种登陆排队系统的设计思路。 千言万语,其实一张流程图就ok: { $this-&gt;value = $node; }}class Link{//链表类 public $head = null; ...
2019-01-23 15:56:07
238
原创 Redis
快速删除Redis的key很多时候为了测试,会生成很多测试用的key,举个例子以A:B:开头的key qq:12:33, qq:12:34 这种,当然最简单的是flushdb,这条命令比较危险,删除所有key,不推荐使用,推荐使用 redis-cli -h 127.0.0.1 keys " qq:12*"|xargs redis-cli -h 127.0.0.1 del 这条命令意思是...
2018-12-19 16:00:33
147
原创 php算法:母牛生小牛问题
有一母牛,到4岁可生育,每年一头,所生均是一样的母牛,到15岁绝育,不再能生,20岁死亡,问n年后有多少头牛。递归版(论坛里的)function t($n) { static $num = 1; for($j=1; $j<=$n; $j++){ $count++; if($j>=4 && $j<15) {$num...
2018-12-04 15:43:09
2184
原创 PHP break
大家都知道break是跳出循环,但是多重循环时break是什么情况?for ($i = 0;$i<10;$i++){ echo "i:".$i."<br>"; for ($j = 0;$j<10;$j++){ echo "j:".$j."<br>"; for ($k
2018-11-29 14:09:21
302
原创 MYSQL
innodb与mysiam区别1、innodb行级锁与mysiam表锁,执行插入更新操作innodb效率高。2、没有where的count(*)时,mysiam直接存储了行数。3、innodb包含事务,mysiam没有事务。4、innodb主索引存储了整行的信息,没有索引自己内部生成一个索引,当一行内容很多时,执行索引很快,但是读取磁盘开销大会导致速度变慢。5、mysiam表不支持外键,...
2018-11-26 14:40:22
163
原创 vuejs
watch 与 computed的区别看了一堆人说的话,我说一个通俗易懂的用法 watch: { firstName: function (val) { this.fullName = val + ' ' + this.lastName } }当firstName值发生变化时,变化后的值作为val传入函数中,然后函数重新给 fu...
2018-11-16 11:45:16
155
原创 正向代理,反向代理,nginx负载均衡,X-forward-for
正向代理:访问一个网站,之前访问另一服务器,这个服务器代替我们访问,然后把结果返回给我们。反向代理:服务器端在接收请求之前,一般通过nginx负载均衡向多个服务器转发请求。nginx负载均衡: nginx作为一个比较高效的http请求处理软件,可以用它接受某个服务器地址的所有请求,再根据配置的权重将这些请求转发到其他服务器,防止一个服务器处理高并发的请求出现宕机问题。X-forward-fo...
2018-11-02 16:04:33
875
原创 Yii2 的php定时脚本
YIi2 console中<?php/** * Created by PhpStorm. * User: weiqiang * Date: 2018/8/17 * Time: 下午4:56 */namespace app\modules\console\controllers;use yii\console\Controller;use Yii;class Ti...
2018-10-22 18:02:04
1363
原创 php爬虫
首先需要手动登陆获取cookie,代码登陆有验证码public function actionIndex() { $cookie ="XXX"; header("Content-type:text/html;charset=utf-8"); //$data=‘XXX'; $curlobj = curl_init(); ...
2018-10-10 15:18:20
585
翻译 php栈实现队列
假设一个数组就是一个栈思路:push操作没啥说的,pop操作把arrB进行出栈,arrB为空就把arrA所有元素先出栈,再入栈arrB,然后再arrB出栈<?php//栈实现队列$arrA = [];$arrB = [];function queuePop(){ global $arrA; global $arrB; if (empty($arrB))...
2018-10-09 17:32:40
175
原创 算法:php实现杨辉三角
代码 // 阶乘 function factorial($n){ return array_product(range(1,$n)); } // 排列数 function A($n,$m){ return factorial($n)/factorial($n-$m); } // 组合数 function C($n,$m){ return A...
2018-09-30 17:02:11
620
原创 使用php实现简单爬虫(一种通用的爬虫思想)
概述现在爬虫技术算是一个普遍的技术了,各个语言的爬虫百家争鸣,但是根据笔者自己的感觉还是python是主流。爬虫涉及到太多的东西,笔者并不是专业的爬虫工程师,只不过个人兴趣分享一下。由于笔者是php工作,所以就使用php来进行简单爬虫。不过我的方法应该是很通用的,我相信java,C#等肯定有类似的函数,然后做法其实都一样了。技术准备看懂这段代码你需要对php的正则表达式函数以及正则表...
2018-09-29 18:13:12
13717
2
空空如也
TA创建的收藏夹 TA关注的收藏夹
TA关注的人
RSS订阅