泊松分布
首先浅谈二项分布,设实验 E 服从 (0-1)分布,则每次 E 的实验称之为 伯努利实验 ,二项分布就是 多重的 独立的 伯努利实验。设进行 n 次伯努利实验,每次发生的概率为 p,则发生 k 次的概率 P{X = k} 为

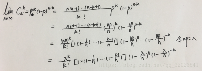
现在我们设想一个特殊的情况,假设事件每次发生的概率 p 很小,并且重复实验的次数 n 比较大,那么当这种情况的二项分布时,有(不好写公式,用草稿代替)

继续推导

上述中的公式表明,当 n 重伯努利实验的 n 足够大,并且每次伯努利实验的概率 p 发生比较小时,发生次数 k 的概率 P{X=k}
可以用下列公式表示(其中
)
这就是 泊松分布 公式,也就是当二项式分布满足 p 很小,而 n 很大时,我们可以用
的泊松分布拟合,或者说 X 服从 参数为 lambda 的泊松分布,简称 
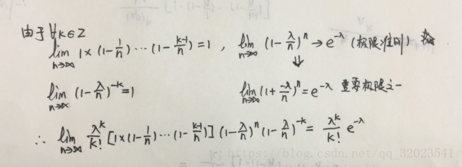
可以证明:

备注:以上公式的证明可用麦克劳林展开式
即 
本文从二项分布出发,介绍了当实验次数n较大,每次实验成功的概率p较小时,二项分布可以用泊松分布近似。给出了泊松分布的公式及适用条件,并提供了公式的证明思路。
1717

被折叠的 条评论
为什么被折叠?



