1.怎么理解L1和L2?
①从贝叶斯角度:从贝叶斯的角度来分析, 正则化是为模型参数估计增加一个先验知识,先验知识会引导损失函数最小化过程朝着约束方向迭代。 L1正则是拉普拉斯先验,L2是高斯先验。整个最优化问题可以看做是一个最大后验估计,其中正则化项对应后验估计中的先验信息,损失函数对应后验估计中的似然函数,两者的乘积即对应贝叶斯最大后验估计。

a.Ridge L2正则化

b.Lasso L1正则化

②优化角度:
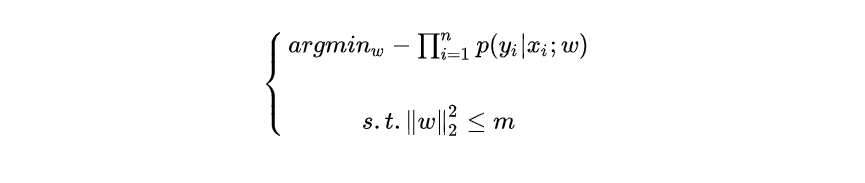
“带正则项”和“带约束条件”(比如不能取过大的值)是等价的。而通过约束参数的取值空间,从而防止过拟合。因此,假设我们为上面的逻辑回归问题加一个参数的约束,比如说的范数的平方不能大于m,则我们的问题就会转为:

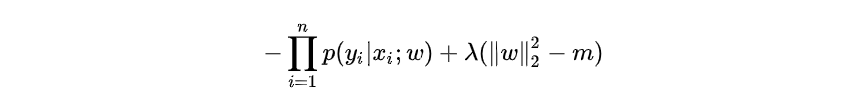
引入拉格朗日乘子的方法,因此我们就能得到:

2.为什么正则化可以避免过拟合?
模型训练总是倾向于更好的拟合训练数据,包括异常样本,很显然这样的结果是模型很复杂,而且为了拟合异常样本很可能预测测试集的效果反而更差。重点1:正则化的本质在于限制解空间。从贝叶斯角度,先验知识会引导损失函数最小化过程朝着约束方向(我的理解:概率密集方向)迭代;从优化角度,正则化等价于不等式约束。
3.为什么L1和L2效果不同?没有完全理解
①贝叶斯角度(相同分布比较0点和非0较小值的概率密度函数)
L1:参数服从拉普拉斯分布,在0处曲线有尖峰,故在0的邻域内概率密集程度远大于接近0的较小参数的概率密集程度;重点2
L2:参数服从正态分布,在0处曲线平滑,故在0的邻域和接近0的较小参数的邻域内概率密集程度相同,参数为0和参数为较小值的概率相同,因此并没有参数优化为0的趋势。
②优化角度

左图是L1正则项约束后的解空间(假设二维空间,简单理解为),右图就是L2正则项约束后的解空间(简单理解为
)。彩色的等高线就是凸优化问题中目标函数的等高线,显然多边形的解空间更容易与等高线在交角处(顶点)碰撞出稀疏解(稀疏可以理解为,并非所有维度的参数均有值,部分参数为0,为0的话就可以理解为该维度的特征没有起到作用),而圆形的解空间,则很难在边角处碰撞,故不易产生稀疏解,更倾向于平滑的解。
参考资料:
理解正则目的:https://www.jianshu.com/p/eca221bf2d62
先验角度理解:https://www.jianshu.com/p/c9bb6f89cfcc
理解l1l2的各种角度:https://baijiahao.baidu.com/s?id=1621054167310242353&wfr=spider&for=pc
本文深入探讨了L1和L2正则化在机器学习中的应用,从贝叶斯角度解析了拉普拉斯与高斯先验的区别,以及如何避免过拟合。同时,从优化角度对比了L1与L2在解空间上的差异,解释了为何L1更倾向于产生稀疏解。
886

被折叠的 条评论
为什么被折叠?



