Bayes滤波算法推导:
Bayes公式的计算:

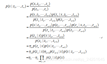
贝叶斯递推公式:

Bayes滤波算法:

博客主要围绕Bayes滤波算法展开,包含Bayes公式的计算、贝叶斯递推公式以及Bayes滤波算法的相关内容,聚焦于信息技术领域的算法推导。
Bayes滤波算法推导:
Bayes公式的计算:

贝叶斯递推公式:

Bayes滤波算法:

1518
1779

被折叠的 条评论
为什么被折叠?