五、规划进度管理
1、前导图法(PDM)或称单代号网络图
活动的六个重要时间

当前活动的总浮动时间—当前活动的最迟完成时间-当前活动的最早完成时间
当前活动的自由浮动时间—紧后活动的最早开始时间的最小值-本活动的最早完成时间
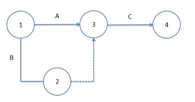
2、箭线图法(ADM)或称双代号网络图
使用方法—箭线表示活动,节点表示事件的一种网络图绘制方法,节点之间只能有一条箭线
绘图要点
三个基本原则
- ①网络图中每一活动和每一事件都必须有唯一的一个代号,即网络图中不会有相同的代号
- ②任两项活动的紧前事件和紧后事件代号至少有一个不相同,节点代号沿箭线方向越来越大
- ③流入(流出)同一节点的活动,均有共同的紧后活动(或紧前活动)
★虚工作
概念:
- ①人为引入了一种额外的、特殊的活动,在网络图中由一个虚箭线表示
- ②虚活动不消耗时间,也不消耗资源
- ③只是为了弥补箭线图在表达活动依赖关系方面的不足
举例

箭线图例子


本文详细介绍了项目进度管理的关键概念,包括前导图法(PDM)和箭线图法(ADM)的绘制要点,如活动的六个重要时间和虚工作概念。同时,探讨了估算活动资源的过程,如自下而上估算,以及活动持续时间的估算方法,如类比估算、参数估算和储备分析。内容涵盖了项目管理中的关键工具和技术。
最低0.47元/天 解锁文章
398

被折叠的 条评论
为什么被折叠?



