大家新年好,我是海鸽。
除夕夜,尼格买提在春晚现场与刘谦搭档变魔术时出现失误,他慌张的表情瞬间引发热议,意外成为今年春晚最引人瞩目的画面。

有网友表示,第二个魔术纯粹是数学原理,只要按照固定的顺序筛选,就一定能拼成完成的牌。

如果你还没观看过,我强烈建议你花一点时间观看一下。下面是“春晚”视频号的官方重播链接。愿好运常伴你左右,烦恼随风飘散。
这个魔术,理解起来,确实有点"困难"。我们先看下整个魔术流程:

接下来是见证奇迹的时刻
1、4张牌对折后撕开,就是8张,4对

2、(无关步骤)根据名字字数,把顶上的牌放到下面,但怎么放都不会改变循环序列
以名字字数3个字为例,多少字数其实没有任何影响

3、(核心步骤)把顶上3张(这里必须是3张)插到中间任意位置。
这一步也是保证第1张和最后1张是一样的!

4、(关键步骤)单放第1张牌
K到一边

5、(无关步骤)南方人/北方人/不确定,分别拿顶上的1/2/3张牌插到中间,只要最后一张不变就无所谓


6、(关键步骤)男生拿掉1张,女生拿掉2张。也就是男生剩下6张,女生剩下5张。

7.“见证奇迹的时刻”从上往后轮放7次


Bingo!这一步就是确保拿到这张K牌。
8.1留2丢,3留四丢,循环直至手上只剩1张卡片

而前面一系列花里胡哨的操作就为拿到这个牌。
我们先来用
Python模拟一下这个流程,先看列表版:
#!usr/bin/env python
# -*- coding:utf-8 _*-
# __author__:lianhaifeng
# __time__:2024/2/14 13:32
import random
from loguru import logger
def generate_cards():
# 名字长度:1~7
name_len = random.randint(2, 7)
# 南方:1,北方:2,不确定:3
location = random.randint(1, 3)
# 男生:1,女生:2
gender = random.randint(1, 2)
# 初始卡片
cards = ["J", "Q", "K", "王", "J", "Q", "K", "王"]
# 按名字字数name_len,将队头卡片放在队尾
for i in range(name_len):
cards.append(cards[0])
cards.pop(0)
# 将前三张卡片插入到任意位置
first_three_card = cards[:3]
del cards[:3]
pos = random.randint(1, 3)
cards[pos:pos] = first_three_card
# 最上面一张卡放在屁股下
butt_card = cards.pop(0)
# 南方/北方/不确定,拿出对应卡片,插入中间任意位置
first_cards = cards[:location]
del cards[:location]
pos = random.randint(1, 5 - location)
cards[pos:pos] = first_cards
# 男生/女生,拿出卡片丢掉
for _ in range(gender):
del cards[0]
# 见证奇迹的时刻
for _ in range(7):
cards.append(cards[0])
cards.pop(0)
logger.info(f"生成卡片:{cards}")
# 好运留下来,烦恼丢出去
while len(cards) > 1:
cards.append(cards[0])
del cards[0]
del cards[0]
logger.info(f"好运留下来,烦恼丢出去:{cards}")
return cards[0], butt_card
def main():
last_card, butt_card = generate_cards()
logger.info(f"最后留下的卡片为:{last_card}")
logger.info(f"屁股下的卡片为:{butt_card}")
if __name__ == "__main__":
main()
输出结果:
2024-02-14 18:38:56.470 | INFO | __main__:generate_cards:54 - 生成卡片:['Q', 'K', '王', 'Q', 'J']
2024-02-14 18:38:56.470 | INFO | __main__:generate_cards:61 - 好运留下来,烦恼丢出去:['王', 'Q', 'J', 'Q']
2024-02-14 18:38:56.471 | INFO | __main__:generate_cards:61 - 好运留下来,烦恼丢出去:['J', 'Q', '王']
2024-02-14 18:38:56.471 | INFO | __main__:generate_cards:61 - 好运留下来,烦恼丢出去:['王', 'J']
2024-02-14 18:38:56.471 | INFO | __main__:generate_cards:61 - 好运留下来,烦恼丢出去:['王']
2024-02-14 18:38:56.471 | INFO | __main__:main:68 - 最后留下的卡片为:王
2024-02-14 18:38:56.471 | INFO | __main__:main:69 - 屁股下的卡片为:王
使用队列模拟(来源于许啸天):
#!usr/bin/env python
# -*- coding:utf-8 _*-
# __author__:lianhaifeng
# __time__:2024/2/14 13:32
from collections import deque
from random import randint
from loguru import logger
def move_card_back(n, arr):
for _ in range(n):
move_card = arr.popleft()
arr.append(move_card)
return arr
def move_card_middle_random(n, arr):
idx = randint(n + 1, len(arr) - 1)
return deque(list(arr)[n:idx] + list(arr)[:n] + list(arr)[idx:])
def main():
arr = deque(["J", "Q", "K", "王", "J", "Q", "K", "王"])
logger.info(f"步骤1:拿出4张牌,对折撕成8张,按顺序叠放。\n此时序列为:{''.join(arr)}\n---")
name_len = randint(2, 5)
arr = move_card_back(name_len, arr)
logger.info(f"步骤2:随机选取名字长度为{name_len},把第1张牌放到末尾,操作{name_len}次。\n此时序列为:{''.join(arr)}\n---")
arr = move_card_middle_random(3, arr)
logger.info(f"步骤3:把牌堆顶3张放到中间的随机位置。\n此时序列为:{''.join(arr)}\n---")
rest_card = arr.popleft()
logger.info(f"步骤4:把最顶上的牌拿走,放在一边。\n拿走的牌为:{rest_card}\n此时序列为:{''.join(arr)}\n---")
move_num = randint(1, 3)
arr = move_card_middle_random(move_num, arr)
logger.info(
f"步骤5:我{'是南方人' if move_num == 1 else '是北方人' if move_num == 2 else '不确定自己是哪里人'},"
f"把{move_num}张牌插入到中间的随机位置。\n此时序列为:{''.join(arr)}\n---")
male_num = randint(1, 2)
for _ in range(male_num):
arr.popleft()
logger.info(f"步骤6:我是{'男' if male_num == 1 else '女'}生,移除牌堆顶的{male_num}张牌。"
f"\n此时序列为:{''.join(arr)}\n---")
arr = move_card_back(7, arr)
logger.info(f"步骤7:把顶部的牌移动到末尾,执行7次\n此时序列为:{''.join(arr)}\n---")
logger.info(f"步骤8:把牌堆顶一张牌放到末尾,再移除一张牌,直到只剩下一张牌。")
while len(arr) > 1:
luck = arr.popleft()
arr.append(luck)
logger.info(f"好运留下来:{luck}\t\t此时序列为:{''.join(arr)}", )
sadness = arr.popleft()
logger.info(f"烦恼都丢掉:{sadness}\t\t此时序列为:{''.join(arr)}", )
logger.info(f"---\n最终结果:剩下的牌为{arr[0]},步骤4中留下来的牌也是{rest_card}")
if __name__ == "__main__":
main()
输出结果:
2024-02-14 18:30:48.153 | INFO | __main__:main:27 - 步骤1:拿出4张牌,对折撕成8张,按顺序叠放。
此时序列为:JQK王JQK王
---
2024-02-14 18:30:48.153 | INFO | __main__:main:31 - 步骤2:随机选取名字长度为4,把第1张牌放到末尾,操作4次。
此时序列为:JQK王JQK王
---
2024-02-14 18:30:48.153 | INFO | __main__:main:34 - 步骤3:把牌堆顶3张放到中间的随机位置。
此时序列为:王JQKJQK王
---
2024-02-14 18:30:48.153 | INFO | __main__:main:37 - 步骤4:把最顶上的牌拿走,放在一边。
拿走的牌为:王
此时序列为:JQKJQK王
---
2024-02-14 18:30:48.153 | INFO | __main__:main:41 - 步骤5:我是南方人,把1张牌插入到中间的随机位置。
此时序列为:QKJQKJ王
---
2024-02-14 18:30:48.154 | INFO | __main__:main:48 - 步骤6:我是女生,移除牌堆顶的2张牌。
此时序列为:JQKJ王
---
2024-02-14 18:30:48.154 | INFO | __main__:main:52 - 步骤7:把顶部的牌移动到末尾,执行7次
此时序列为:KJ王JQ
---
2024-02-14 18:30:48.154 | INFO | __main__:main:54 - 步骤8:把牌堆顶一张牌放到末尾,再移除一张牌,直到只剩下一张牌。
2024-02-14 18:30:48.154 | INFO | __main__:main:58 - 好运留下来:K 此时序列为:J王JQK
2024-02-14 18:30:48.154 | INFO | __main__:main:60 - 烦恼都丢掉:J 此时序列为:王JQK
2024-02-14 18:30:48.154 | INFO | __main__:main:58 - 好运留下来:王 此时序列为:JQK王
2024-02-14 18:30:48.154 | INFO | __main__:main:60 - 烦恼都丢掉:J 此时序列为:QK王
2024-02-14 18:30:48.154 | INFO | __main__:main:58 - 好运留下来:Q 此时序列为:K王Q
2024-02-14 18:30:48.154 | INFO | __main__:main:60 - 烦恼都丢掉:K 此时序列为:王Q
2024-02-14 18:30:48.154 | INFO | __main__:main:58 - 好运留下来:王 此时序列为:Q王
2024-02-14 18:30:48.155 | INFO | __main__:main:60 - 烦恼都丢掉:Q 此时序列为:王
2024-02-14 18:30:48.155 | INFO | __main__:main:62 - ---
最终结果:剩下的牌为王,步骤4中留下来的牌也是王
而这魔术背后的核心其实是约瑟夫问题!
约舍夫环问题
据说著名犹太历史学家Josephus有过以下的故事:
在罗马人占领乔塔帕特后,39 个犹太人与Josephus及他的朋友躲到一个洞中,39个犹太人决定宁愿死也不要被敌人抓到,于是决定了一个自杀方式,41个人排成一个圆圈,由第1个人开始报数,每报数到第3人该人就必须自杀,然后再由下一个重新报数,直到所有人都自杀身亡为止。然而Josephus 和他的朋友并不想遵从。首先从一个人开始,越过k-2个人(因为第一个人已经被越过),并杀掉第k个人。接着,再越过k-1个人,并杀掉第k个人。这个过程沿着圆圈一直进行,直到最终只剩下一个人留下,这个人就可以继续活着。问题是,给定了和,一开始要站在什么地方才能避免被处决。Josephus要他的朋友先假装遵从,他将朋友与自己安排在第16个与第31个位置,于是逃过了这场死亡游戏。
#!usr/bin/env python
# -*- coding:utf-8 _*-
# __author__:lianhaifeng
# __time__:2024/2/14 18:51
# -*- coding: utf-8 -*-
"""
Created on Thu Sep 27 12:04:57 2018
Description:约瑟夫问题的列表实现,基于python
Version:1.0
@author: HJY
"""
from loguru import logger
def josephus(n, k):
if n == 1:
return 0
else:
return (josephus(n - 1, k) + k) % n
def find_survivors(n, k):
ring_list = [i + 1 for i in range(n)] # 创建一个包含1到n的整数列表
index = 0 # 初始索引
while len(ring_list) > 2:
pop_index = (index + k - 1) % len(ring_list) # 计算要删除的人的索引
ring_list.pop(pop_index) # 删除对应索引的人
index = pop_index # 更新索引
logger.info(ring_list)
return ring_list
def main():
n = 41 # 总共有41个人
k = 3 # 每报数到第3人就必须退出
survivors = find_survivors(n, k)
logger.info(f"最后剩下的两个人是编号为 {survivors[0]} 和 {survivors[1]} 的人")
if __name__ == "__main__":
main()
输出结果是:
2024-02-14 19:13:17.744 | INFO | __main__:find_survivors:30 - [1, 2, 4, 5, 6, 7, 8, 9, 10, 11, 12, 13, 14, 15, 16, 17, 18, 19, 20, 21, 22, 23, 24, 25, 26, 27, 28, 29, 30, 31, 32, 33, 34, 35, 36, 37, 38, 39, 40, 41]
2024-02-14 19:13:17.745 | INFO | __main__:find_survivors:30 - [1, 2, 4, 5, 7, 8, 9, 10, 11, 12, 13, 14, 15, 16, 17, 18, 19, 20, 21, 22, 23, 24, 25, 26, 27, 28, 29, 30, 31, 32, 33, 34, 35, 36, 37, 38, 39, 40, 41]
2024-02-14 19:13:17.745 | INFO | __main__:find_survivors:30 - [1, 2, 4, 5, 7, 8, 10, 11, 12, 13, 14, 15, 16, 17, 18, 19, 20, 21, 22, 23, 24, 25, 26, 27, 28, 29, 30, 31, 32, 33, 34, 35, 36, 37, 38, 39, 40, 41]
2024-02-14 19:13:17.745 | INFO | __main__:find_survivors:30 - [1, 2, 4, 5, 7, 8, 10, 11, 13, 14, 15, 16, 17, 18, 19, 20, 21, 22, 23, 24, 25, 26, 27, 28, 29, 30, 31, 32, 33, 34, 35, 36, 37, 38, 39, 40, 41]
2024-02-14 19:13:17.745 | INFO | __main__:find_survivors:30 - [1, 2, 4, 5, 7, 8, 10, 11, 13, 14, 16, 17, 18, 19, 20, 21, 22, 23, 24, 25, 26, 27, 28, 29, 30, 31, 32, 33, 34, 35, 36, 37, 38, 39, 40, 41]
2024-02-14 19:13:17.746 | INFO | __main__:find_survivors:30 - [1, 2, 4, 5, 7, 8, 10, 11, 13, 14, 16, 17, 19, 20, 21, 22, 23, 24, 25, 26, 27, 28, 29, 30, 31, 32, 33, 34, 35, 36, 37, 38, 39, 40, 41]
2024-02-14 19:13:17.746 | INFO | __main__:find_survivors:30 - [1, 2, 4, 5, 7, 8, 10, 11, 13, 14, 16, 17, 19, 20, 22, 23, 24, 25, 26, 27, 28, 29, 30, 31, 32, 33, 34, 35, 36, 37, 38, 39, 40, 41]
2024-02-14 19:13:17.746 | INFO | __main__:find_survivors:30 - [1, 2, 4, 5, 7, 8, 10, 11, 13, 14, 16, 17, 19, 20, 22, 23, 25, 26, 27, 28, 29, 30, 31, 32, 33, 34, 35, 36, 37, 38, 39, 40, 41]
2024-02-14 19:13:17.746 | INFO | __main__:find_survivors:30 - [1, 2, 4, 5, 7, 8, 10, 11, 13, 14, 16, 17, 19, 20, 22, 23, 25, 26, 28, 29, 30, 31, 32, 33, 34, 35, 36, 37, 38, 39, 40, 41]
2024-02-14 19:13:17.746 | INFO | __main__:find_survivors:30 - [1, 2, 4, 5, 7, 8, 10, 11, 13, 14, 16, 17, 19, 20, 22, 23, 25, 26, 28, 29, 31, 32, 33, 34, 35, 36, 37, 38, 39, 40, 41]
2024-02-14 19:13:17.746 | INFO | __main__:find_survivors:30 - [1, 2, 4, 5, 7, 8, 10, 11, 13, 14, 16, 17, 19, 20, 22, 23, 25, 26, 28, 29, 31, 32, 34, 35, 36, 37, 38, 39, 40, 41]
2024-02-14 19:13:17.746 | INFO | __main__:find_survivors:30 - [1, 2, 4, 5, 7, 8, 10, 11, 13, 14, 16, 17, 19, 20, 22, 23, 25, 26, 28, 29, 31, 32, 34, 35, 37, 38, 39, 40, 41]
2024-02-14 19:13:17.746 | INFO | __main__:find_survivors:30 - [1, 2, 4, 5, 7, 8, 10, 11, 13, 14, 16, 17, 19, 20, 22, 23, 25, 26, 28, 29, 31, 32, 34, 35, 37, 38, 40, 41]
2024-02-14 19:13:17.747 | INFO | __main__:find_survivors:30 - [2, 4, 5, 7, 8, 10, 11, 13, 14, 16, 17, 19, 20, 22, 23, 25, 26, 28, 29, 31, 32, 34, 35, 37, 38, 40, 41]
2024-02-14 19:13:17.747 | INFO | __main__:find_survivors:30 - [2, 4, 7, 8, 10, 11, 13, 14, 16, 17, 19, 20, 22, 23, 25, 26, 28, 29, 31, 32, 34, 35, 37, 38, 40, 41]
2024-02-14 19:13:17.747 | INFO | __main__:find_survivors:30 - [2, 4, 7, 8, 11, 13, 14, 16, 17, 19, 20, 22, 23, 25, 26, 28, 29, 31, 32, 34, 35, 37, 38, 40, 41]
2024-02-14 19:13:17.747 | INFO | __main__:find_survivors:30 - [2, 4, 7, 8, 11, 13, 16, 17, 19, 20, 22, 23, 25, 26, 28, 29, 31, 32, 34, 35, 37, 38, 40, 41]
2024-02-14 19:13:17.747 | INFO | __main__:find_survivors:30 - [2, 4, 7, 8, 11, 13, 16, 17, 20, 22, 23, 25, 26, 28, 29, 31, 32, 34, 35, 37, 38, 40, 41]
2024-02-14 19:13:17.758 | INFO | __main__:find_survivors:30 - [2, 4, 7, 8, 11, 13, 16, 17, 20, 22, 25, 26, 28, 29, 31, 32, 34, 35, 37, 38, 40, 41]
2024-02-14 19:13:17.759 | INFO | __main__:find_survivors:30 - [2, 4, 7, 8, 11, 13, 16, 17, 20, 22, 25, 26, 29, 31, 32, 34, 35, 37, 38, 40, 41]
2024-02-14 19:13:17.759 | INFO | __main__:find_survivors:30 - [2, 4, 7, 8, 11, 13, 16, 17, 20, 22, 25, 26, 29, 31, 34, 35, 37, 38, 40, 41]
2024-02-14 19:13:17.759 | INFO | __main__:find_survivors:30 - [2, 4, 7, 8, 11, 13, 16, 17, 20, 22, 25, 26, 29, 31, 34, 35, 38, 40, 41]
2024-02-14 19:13:17.760 | INFO | __main__:find_survivors:30 - [2, 4, 7, 8, 11, 13, 16, 17, 20, 22, 25, 26, 29, 31, 34, 35, 38, 40]
2024-02-14 19:13:17.760 | INFO | __main__:find_survivors:30 - [2, 4, 8, 11, 13, 16, 17, 20, 22, 25, 26, 29, 31, 34, 35, 38, 40]
2024-02-14 19:13:17.760 | INFO | __main__:find_survivors:30 - [2, 4, 8, 11, 16, 17, 20, 22, 25, 26, 29, 31, 34, 35, 38, 40]
2024-02-14 19:13:17.760 | INFO | __main__:find_survivors:30 - [2, 4, 8, 11, 16, 17, 22, 25, 26, 29, 31, 34, 35, 38, 40]
2024-02-14 19:13:17.760 | INFO | __main__:find_survivors:30 - [2, 4, 8, 11, 16, 17, 22, 25, 29, 31, 34, 35, 38, 40]
2024-02-14 19:13:17.761 | INFO | __main__:find_survivors:30 - [2, 4, 8, 11, 16, 17, 22, 25, 29, 31, 35, 38, 40]
2024-02-14 19:13:17.761 | INFO | __main__:find_survivors:30 - [2, 4, 8, 11, 16, 17, 22, 25, 29, 31, 35, 38]
2024-02-14 19:13:17.761 | INFO | __main__:find_survivors:30 - [2, 4, 11, 16, 17, 22, 25, 29, 31, 35, 38]
2024-02-14 19:13:17.761 | INFO | __main__:find_survivors:30 - [2, 4, 11, 16, 22, 25, 29, 31, 35, 38]
2024-02-14 19:13:17.762 | INFO | __main__:find_survivors:30 - [2, 4, 11, 16, 22, 25, 31, 35, 38]
2024-02-14 19:13:17.762 | INFO | __main__:find_survivors:30 - [2, 4, 11, 16, 22, 25, 31, 35]
2024-02-14 19:13:17.762 | INFO | __main__:find_survivors:30 - [2, 4, 16, 22, 25, 31, 35]
2024-02-14 19:13:17.762 | INFO | __main__:find_survivors:30 - [2, 4, 16, 22, 31, 35]
2024-02-14 19:13:17.763 | INFO | __main__:find_survivors:30 - [4, 16, 22, 31, 35]
2024-02-14 19:13:17.763 | INFO | __main__:find_survivors:30 - [4, 16, 31, 35]
2024-02-14 19:13:17.763 | INFO | __main__:find_survivors:30 - [16, 31, 35]
2024-02-14 19:13:17.763 | INFO | __main__:find_survivors:30 - [16, 31]
2024-02-14 19:13:17.763 | INFO | __main__:main:38 - 最后剩下的两个人是编号为 16 和 31 的人
我们思考的是「约瑟夫问题」的一个变种(留1个丢1个):在一个环形队列中,每次将队列中第一张牌放到末尾,然后移除第一张牌,重复此操作直到只剩下一张牌时停止。我们要确定最后一张留在队列中的牌的位置。
首先考虑特殊情况:当队列中的牌数 n 为 2 的幂次时,比如1, 2, 4…,无论开始时第一张牌是什么,最后一张牌一定是第1张牌。
当 n 不是 2 的幂次时,巧妙的部分来了:考虑比 n 小的最大的 2 的 m 幂次,然后在第一个大循环中,留一张、丢一张,直到剩下 2 的 m 幂次张牌,此时我们就回到了问题的特殊情况:目前留下的第 1 张牌会留到最后。
在一个环中,哪张牌都可以看成第一张牌,比如19张牌的话,可以看成
2 ^ 4 + 3,留一张丢一张,三次后恰好构成2 ^ 4,此时将要留的那张牌即可看成是新环中的第一张,其索引位置即为2 * 3 + 1,也就是根据特殊情况:第7张牌会留到最后。
我们很容易推导出第k个牌可以留到最后:

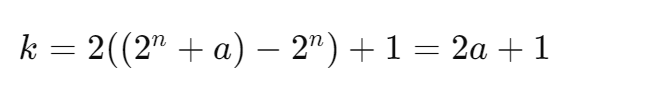
现在考虑牌数为2 ^ n + a的情况。

因此:

因此,这个魔术中要想最后获得K,计算好的K的位置为:
- 男生:2 * (6 - 2 ^ 2) + 1 = 5
- 女生:2 * (5 - 2 ^ 2) + 1 = 3

这也就是
7字真言的在这个魔术中作用。
小结
到这里,刘谦的第二个扑克牌魔术,我们已经揭秘了。毫无疑问,它本质上是一个数学魔术。
扑克牌魔术作为魔术的一个重要类型,其背后的原理大多与数学密切相关。通过深入学习数学,我们每个人都有可能成为一位出色的魔术师!不妨在家人和朋友面前展示一下你的技艺吧!
2024年,希望大家“烦恼丢出去,幸福(好运)留下来!”
最后
今天的分享就到这里。如果觉得不错,点赞,关注安排起来吧。

本文揭秘刘谦春晚第二个扑克牌魔术,其核心是约瑟夫问题变种。介绍了魔术流程,阐述约瑟夫问题来源,分析在环形队列中确定最后留牌位置的方法,通过计算得出魔术中男生、女生最后获牌的位置,指出该魔术本质是数学魔术。

被折叠的 条评论
为什么被折叠?



