activiti7并行网关,一个审批通过,一个审批不通过,但是也要走完流程,这个如何画流程图
最新推荐文章于 2023-10-12 09:23:05 发布
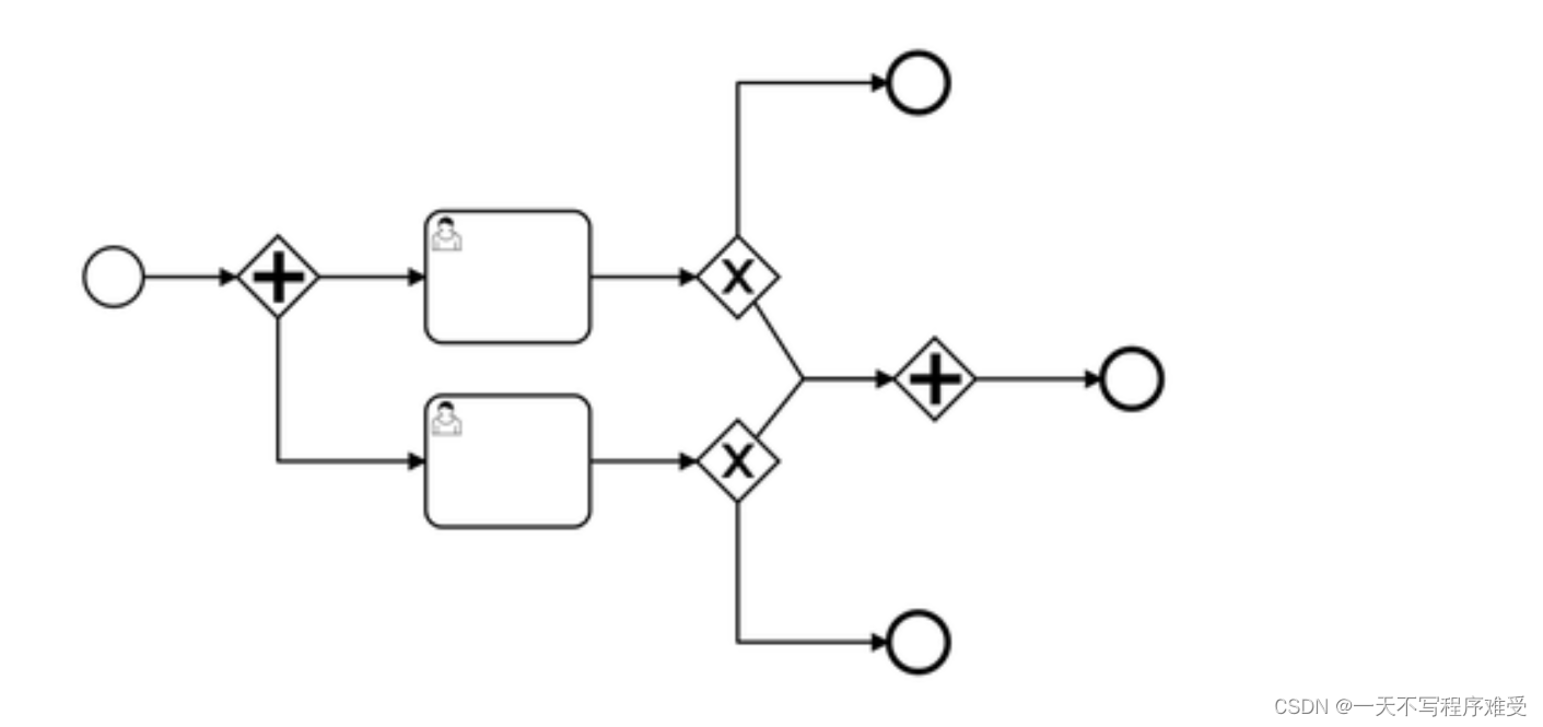
本文讨论了一个业务流程,其中涉及两个部门的审批。为了确保流程的高效结束,无论是两个部门都同意还是任一部门否决,都需要终止整个流程。实现这一逻辑的关键在于设计正确的图结构和控制代码。可以使用条件分支和并发处理来确保一旦有任何部门作出决定,流程就能及时停止。


3856





