问题
编写一个程序,找到两个单链表相交的起始节点。
注意:
如果两个链表没有交点,返回 null.
在返回结果后,两个链表仍须保持原有的结构。
可假定整个链表结构中没有循环。
程序尽量满足 O(n) 时间复杂度,且仅用 O(1) 内存。
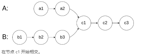
例子



思路
- 方法1 O(n) O(n)
遍历链表 A 并将每个结点的地址/引用存储在哈希表中。然后检查链表 B 中的每一个结点是否在哈希表中。若在,则为相交结点。
。 - 方法2 O(n) O(1)

a+b+None+c=c+b+None+a(当两个链表不想交时,b=0)
一个从a开始走,走到头None,再走c,一个从c开始走,走到头None,再走a:一定会遇到,当不相交时(b=0),相遇的结点为None,当相交时,相遇的结点为相交结点
代码
/**
* Definition for singly-linked list.
* public class ListNode {
* int val;
* ListNode next;
* ListNode(int x) {
* val = x;
* next = null;
* }
* }
*/
//方法1
public class Solution {
public ListNode getIntersectionNode(ListNode headA, ListNode headB) {
Map<ListNode,Integer> map = new HashMap<>();
while (headA!=null) {
map.put(headA,map.getOrDefault(headA,0)+1);
headA=headA.next;
}
while(headB!=null) {
if (map.getOrDefault(headB,0)==1) return headB;
headB=headB.next;
}
return null;
}
}
//方法2
public class Solution {
public ListNode getIntersectionNode(ListNode headA, ListNode headB) {
if (headA == null && headB == null) return null;
ListNode a=headA, b=headB;
while(headA!=headB){
headA=headA!=null?headA.next:b;
headB=headB!=null?headB.next:a;
}
return headA;
}
}
# Definition for singly-linked list.
# class ListNode:
# def __init__(self, x):
# self.val = x
# self.next = None
#方法1
class Solution:
def getIntersectionNode(self, headA: ListNode, headB: ListNode) -> ListNode:
d=dict()
while headA:
d[headA]=1
headA=headA.next
while headB:
if d.get(headB,0)==1:
return headB
headB=headB.next
return None
#方法2
class Solution:
def getIntersectionNode(self, headA: ListNode, headB: ListNode) -> ListNode:
if not headA or not headB: return None
a=headA
b=headB
# is比较内存地址
while a is not b:
a = headB if a==None else a.next
b = headA if b==None else b.next
return a

该程序旨在找到两个单链表相交的起始节点。方法包括使用哈希表存储链表A的节点,然后检查链表B的节点是否在哈希表中,或者通过同时遍历两个链表直到相遇来确定相交节点。目标是实现O(n)的时间复杂度和O(1)的内存使用。
1631

被折叠的 条评论
为什么被折叠?



