可能真是智商压制,开始拿到题想了一整天,一点思路也没有, 然后看别人的博客也感觉半知半解,但自己写完的时候,发现这题确实挺好的,挺锻炼思维的,建议大家多思考思考。
大牛的思路:(自己写的代码,将就看下吧,最好是边看代码,边看题解)
贪心原则应该是Ci大的尽量先染色,但是由于父节点染了才能染子节点的限制使得问题不好解决了,但是Ci大的一定是在其父节点染色后立即被染色,这时大牛们的思路我也没有看明白如何证明的,但仔细一想就明白了。于是我们根据这个条件就可以将Ci大的点与其父节点合并在一起组成一个集合。这样就可以将问题规模减小。
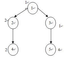
合并后的点(即集合)的属性如何变化呢?假如设fact[i]表示集合的Ci和,iNum[i]表示i所属集合的结点个数;那么把fact[i]/iNum[i]作为贪心原则,其值大者先合并到其父节点,最终合并成一个集合。答案是怎么得出来的我看了很长时间才明白。先看一下下面的例子;

先初始化fact[i]=Ci, iNum[i]=1;将每一个点看成一个集合。
按照贪心原则首先选择5合并到3形成集合A={3,5},fact[A]=5,iNum[A]=2;
Ans+=fact[5]*iNum[3]=4;
然后再按照贪心原则选择集合A合并到1形成集合B={1,3,5},fact[B]=6,iNum[B]=3;
Ans+=fact[A]*iNum[1]=9;
然后再选择2合并到集合B形成集合C={1,2,3,5},fact[C]=8, iNum[C]=4;
Ans+=fact[2]*iNum[B]=15;
最后选择4合并到集合C形成集合D={1,2,3,4,5},fact[D]=10,iNum[D]=5;
Ans+=fact[4]*iNum[C]=23;
最后别忘了Ans+=fact[D]=33;
#include<cstdio>
#include<iostream>
#include<cstring>
#define N 1010
using namespace std;
int fa[N];
int a[N];
int num[N];
bool vis[N];
int n, root;
int fint()
{
int k;
double ma = 0;
for(int i=1; i<=n; ++i)
if(i!=root&&vis[i]&&ma < a[i]*1.0/num[i])
{
ma = a[i]*1.0/num[i];
k = i;
}
return k;
}
int main()
{
while(cin >> n >> root, n||root)
{
memset(vis,true,sizeof(vis));
memset(fa,0,sizeof(fa));
for(int i=1; i<=n; ++i)
num[i] = 1;
for(int i=1; i<=n; ++i)
cin >> a[i];
int x,y;
for(int i=1; i<n; ++i)
{
cin >> x >> y;
fa[y] = x;
}
int ans = 0,k,g;
for(int i=1; i<n; ++i)
{
k = fint();
vis[k] = false;
g = fa[k];
while(!vis[g]) g = fa[g];
ans += (num[g]*a[k]);
num[g] += num[k];
a[g] += a[k];
for(int e=1; e<=n; ++e)
if(fa[e] == k)
{
fa[e] = g;
}
}
ans += a[root];
cout << ans <<endl;
}
return 0;
}
1万+

被折叠的 条评论
为什么被折叠?



