一、题目
给你单链表的头节点 head ,请你反转链表,并返回反转后的链表。
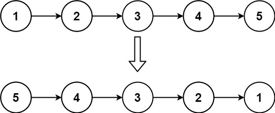
示例 1:

输入:head = [1,2,3,4,5]
输出:[5,4,3,2,1]
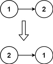
示例 2:

输入:head = [1,2]
输出:[2,1]
示例 3:
输入:head = []
输出:[]
提示:
链表中节点的数目范围是 [0, 5000]
-5000 <= Node.val <= 5000
二、思路
刚做链表,一开始老是想着传cur和nxt,让下一个指向当前,但这样就会出现越界访问等问题,导致一直处理不好。后面改成pre和cur,让当前指向上一个就清晰很多了。
即用nxt记录下一个节点,修改当前节点的next指向pre,递归cur和nxt。
三、代码
/**
* Definition for singly-linked list.
* struct ListNode {
* int val;
* ListNode *next;
* ListNode() : val(0), next(nullptr) {}
* ListNode(int x) : val(x), next(nullptr) {}
* ListNode(int x, ListNode *next) : val(x), next(next) {}
* };
*/
class Solution {
private:
ListNode* nxt;
public:
ListNode* reverse(ListNode* pre,ListNode* cur){
if(cur==NULL){
return pre;
}
nxt=cur->next;
cur->next=pre;
return reverse(cur,nxt); //若函数有返回类型,则递归需要return
}
ListNode* reverseList(ListNode* head) {
ListNode* res=reverse(NULL,head);
return res;
}
};
1029

被折叠的 条评论
为什么被折叠?



