作为一个Kafka初学者,需要快速成长,承担维护公司Kafka的重任,对Kafka的学习,我按照三步走策略:
- 阅读Kafka相关书籍
- 从运维实战的角度学习Kafka
- 阅读源码,体系化,精细化掌握其实现原理
本文属于学习的第二阶段:[从运维实战的角度学习Kafka],本文重点介绍kafka-consumer-groups运维命令的使用,从运维、使用驱动对消费组的了解。
1、Kafka 消费组运维命令的基本使用
| 选项 | 类型 | 详细说明 |
|---|---|---|
| –delete | 命令 | 删除消费组,消费组删除后,其对应的消费位点也会被删除, 该命令无法删除在线的消费组(有客户端连接) |
| –list | 命令 | 查询所有消费组(列表) |
| –describe | 命令 | 查看消费组详情 |
| –reset-offsets | 命令 | 重置消费组位点 |
| –bootstrap-server | 选项 | 指定kafka集群的地址 |
| –members | 选项 | 在–describe时生效,用于显示一个消费组的客户端信息,不显示分区级别 |
| –state | 选项 | 在–describe时生效,用于显示消费组的状态,主要包括所在 的协调器、分区负载算法等。 |
| –timeout | 选项 | 超时时间,单位为ms,默认为5000。 |
| –topic | 选项 | 指定本次操作的主题、分区信息,Kafka删除订阅关系或重置位点时 支持只重置部分主题的部分分区,其格式为:主题:分区列表,示例: “topic1:0,1,2”, |
| –verbose | 选项 | 输出一些更详细的信息,可与–offsets --members --state结合使用 |
| –all-topics | 选项 | 重置位点(–reset-offsets)时作用域为该消费组所订阅的所有主题。 |
| –by-duration | 选项 | 重置位点到距离当前时间指定间隔的位移处,格式 ,PnDTnHnMnS,例 重置30分钟之前,格式为PT0H30M0S |
| –to-current | 选项 | 重置到当前时间所代表的位点 |
| –to-latest | 选项 | 重置到最大位点 |
| –to-datetime | 选项 | 重置大于指定时间所代表的位点最小值,格式为’YYYY-MM-DDTHH:mm:SS.sss’ |
| –to-offset | 选项 | 重置到指定位点 |
| –to-earliest | 选项 | 重置到最小位点 |
| –shift-by | 选项 | 把位点重置到到当前位移 + N 处,N 可以是负数, 表示向前移动 |
| –dry-run | 选项 | 只显示结果,不真正执行,感觉是模拟执行 |
| –execute | 选项 | 执行真正的位点重置,如果不带该参数,则不会真正执行位点重置 |
| –export | 选项 | 将位点重置计划导出到文件 |
| –from-file | 选项 | 指定位点重置计划,该文件由–export参数生成 |
接下来对一些要点做一个简单的说明与举例。
1.1 --members 显示消费组成员
在使用–describe选项查看一个消费组信息时会详细显示各个分区的消费情况,而加上–members类似一个分组,以客户端为维度的汇总信息,如下图所示:

1.2 --state 显示消费组状态
该选项主要用于显示消费组的状态,使用示例如下图所示:

其列说明如下:
-
COORDINATOR (ID)
该消费组的控制协调器,例如协调分区重平衡等操作,不同的消费组的协调器所在的Broker不同。 -
ASSIGNMENT-STRATEGY
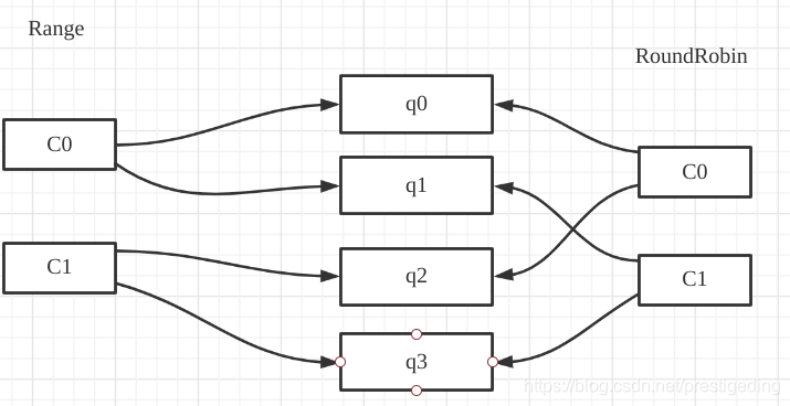
分区负载算法,目前Kafka支持Rrange与RoundRobin两种分配上算法,默认为Range,其含义如下图所示:

-
State
消费者状态,主要包括Dead, Stable(稳定状态,可消费消息), CompletingRebalance(正在重平衡), PreparingRebalance(准备重平衡), empty(所有消费不在线) -
MEMBERS
成员个数。
1.2 --reset-offsets 重置消费位点
重置消费位点是kafka-consumer-groups的重点功能,我们对常用功能进行演示,只有操作,才能记忆深刻。

Kafka的重置位点需要先停掉所有的消费者。

执行真正的位点重置需要加上 --execute选项,在真正执行之前,可以用–dry-run模拟执行。
2、总结
在Kafka中,消费组是自动创建的,并且kafka中的消费组并没有提供类似RocketMQ的广播消费模式,也没Topic那么多的运维属性,其实也可以理解,topic是负责具体的数据存储,而消费组只是拉取数据进行处理。
好了,本文就介绍到这里了,一键三连(关注、点赞、留言)是对我最大的鼓励。
掌握一到两门java主流中间件,是敲开BAT等大厂必备的技能,送给大家一个Java中间件学习路线,助力大家实现职场的蜕变。
最后分享笔者一个硬核的RocketMQ电子书,您将获得千亿级消息流转的运维经验。

获取方式:私信回复RMQPDF即可获取。
本文从运维实战角度深入探讨Kafka的kafka-consumer-groups命令,包括如何使用--delete、--list、--describe等选项进行消费组管理。重点介绍了--reset-offsets选项用于重置消费位点的各种场景和参数,如--to-current、--to-latest等。通过实际操作加深理解,帮助Kafka初学者快速掌握消费组运维。
1万+

被折叠的 条评论
为什么被折叠?



