96. 不同的二叉搜索树
LeetCode题目要求
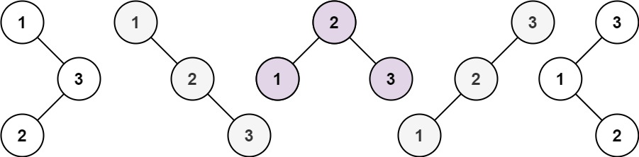
给你一个整数 n ,求恰由 n 个节点组成且节点值从 1 到 n 互不相同的 二叉搜索树 有多少种?返回满足题意的二叉搜索树的种数。
示例
输入:n = 3
输出:5
解题思路
五部曲
1、确定数组 dp[i],从 1 到 i 为节点组成二叉搜索树的个数
2、递推公式 dp[i] += dp[j - 1] * dp[i - j]
3、初始化 dp[0] = 1;
4、dp[i] += dp[j - 1] * dp[i - j]
5、推导举例
上代码
class Solution {
public int numTrees(int n) {
//初始化 dp 数组
int[] dp = new int[n + 1];
//初始化0个节点和1个节点的情况
dp[0] = 1;
for (int i = 1; i <= n; i++) {
for (int j = 1; j <= i; j++) {
//对于第i个节点,需要考虑1作为根节点直到i作为根节点的情况,所以需要累加
//一共i个节点,对于根节点j时,左子树的节点个数为j-1,右子树的节点个数为i-j
dp[i] += dp[j - 1] * dp[i - j];
}
}
return dp[n];
}
}
重难点
附:学习资料链接
该问题涉及动态规划,通过初始化dp数组并使用递推公式dp[i]=dp[j-1]*dp[i-j]来计算从1到n的不同节点组成的二叉搜索树的种类。当i为根节点时,左子树有j-1个节点,右子树有i-j个节点。最终返回dp[n]作为答案。
72

被折叠的 条评论
为什么被折叠?



