1.人字架优化设计问题-现代优化设计

1.确定设计变量:
设计变量:
D——人字架杆件的平均直径;
H——人字架杆件的高度;
表示为:

2.目标函数的建立:
目标函数:
3.约束条件
力学条件:当不记人字架杆件质量的时候,它相当于是一个二力杆,在顶端给它施加一个集中力P的作用时,在两个杆件上各产生轴线方向上的支座反力Q,构成力的矢量三角形,可以根据静力平衡条件:
其中,

钢管的压应力:

压杆失稳临界应力:

本文探讨了人字架的优化设计问题,主要关注设计变量如平均直径D和高度H的选择。通过建立目标函数,旨在最小化材料消耗或成本,同时满足力学条件。在忽略杆件质量的情况下,当施加集中力P时,人字架形成力的矢量三角形,需确保静力平衡。此外,分析了钢管的压应力和压杆失稳临界应力,为设计提供依据。

1.确定设计变量:
设计变量:
D——人字架杆件的平均直径;
H——人字架杆件的高度;
表示为:

2.目标函数的建立:
目标函数:
3.约束条件
力学条件:当不记人字架杆件质量的时候,它相当于是一个二力杆,在顶端给它施加一个集中力P的作用时,在两个杆件上各产生轴线方向上的支座反力Q,构成力的矢量三角形,可以根据静力平衡条件:
其中,

钢管的压应力:

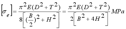
压杆失稳临界应力:

1148