一、最大二叉树
1.1 题目
给定一个不重复的整数数组 nums 。 最大二叉树 可以用下面的算法从 nums 递归地构建:
- 创建一个根节点,其值为
nums中的最大值。 - 递归地在最大值 左边 的 子数组前缀上 构建左子树。
- 递归地在最大值 右边 的 子数组后缀上 构建右子树。
返回 nums 构建的 最大二叉树 。
示例 1:

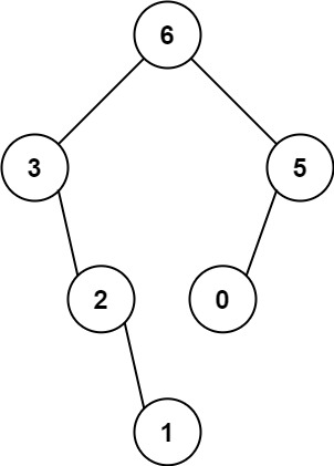
输入:nums = [3,2,1,6,0,5]
输出:[6,3,5,null,2,0,null,null,1]
解释:递归调用如下所示:
- [3,2,1,6,0,5] 中的最大值是 6 ,左边部分是 [3,2,1] ,右边部分是 [0,5] 。
- [3,2,1] 中的最大值是 3 ,左边部分是 [] ,右边部分是 [2,1] 。
- 空数组,无子节点。
- [2,1] 中的最大值是 2 ,左边部分是 [] ,右边部分是 [1] 。
- 空数组,无子节点。
- 只有一个元素,所以子节点是一个值为 1 的节点。
- [0,5] 中的最大值是 5 ,左边部分是 [0] ,右边部分是 [] 。
- 只有一个元素,所以子节点是一个值为 0 的节点。
- 空数组,无子节点。
示例 2:

输入:nums = [3,2,1] 输出:[3,null,2,null,1]
提示:
1 <= nums.length <= 10000 <= nums[i] <= 1000nums中的所有整数 互不相同
1.2 题目链接
1.3 解题思路和过程想法
(1)解题思路
递归构造树:
# 1.找到最大值,并为之创建根节点
# 2.用最大值划分左右子树
# 3.递归处理左右子树
(2)过程想法
做过用两遍历序列数组构造二叉树之后,这道题的思路就很清晰了。
1.4 代码
class Solution:
def constructMaximumBinaryTree(self, nums: List[int]) -> Optional[TreeNode]:
# 1.找到最大值,并为之创建根节点
if len(nums):
cur_max = max(nums)
root = TreeNode(cur_max)
else:
return None
# 2.用最大值划分左右子树
seperator_index = nums.index(cur_max)
leftTree = nums[:seperator_index]
rightTree = nums[seperator_index+1:]
# 3.递归处理左右子树
root.left = self.constructMaximumBinaryTree(leftTree)
root.right = self.constructMaximumBinaryTree(rightTree)
return root
二、合并二叉树
2.1 题目
给你两棵二叉树: root1 和 root2 。
想象一下,当你将其中一棵覆盖到另一棵之上时,两棵树上的一些节点将会重叠(而另一些不会)。你需要将这两棵树合并成一棵新二叉树。合并的规则是:如果两个节点重叠,那么将这两个节点的值相加作为合并后节点的新值;否则,不为 null 的节点将直接作为新二叉树的节点。
返回合并后的二叉树。
注意: 合并过程必须从两个树的根节点开始。
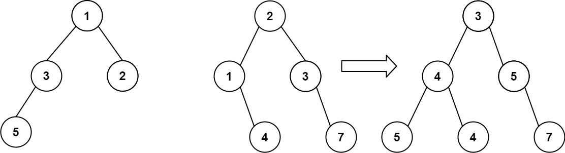
示例 1:

输入:root1 = [1,3,2,5], root2 = [2,1,3,null,4,null,7] 输出:[3,4,5,5,4,null,7]
示例 2:
输入:root1 = [1], root2 = [1,2] 输出:[2,2]
提示:
- 两棵树中的节点数目在范围
[0, 2000]内 -10^4 <= Node.val <= 10^4
2.2 题目链接
2.3 解题思路和过程想法
(1)解题思路
合并二叉树,首先从根开始,然后再左右,即采用前序遍历。
# 递归出口:树1指针和树2指针均为空,返回 None
# 处理思路:只有一棵树的指针不为空,则直接返回该指针;否则新建节点
# 递归私立:根左右
(2)过程想法
最初写的是新创每一个节点,也通过了,但还是觉得利用已知节点会好一点。整体思考过程比较顺畅,轻松飘过。
2.4 代码
class Solution:
def mergeTrees(self, root1: Optional[TreeNode], root2: Optional[TreeNode]) -> Optional[TreeNode]:
# 前序遍历
# 递归出口
if not root1 and not root2:
return None
# 根
if root1 and not root2:
return root1
if root2 and not root1:
return root2
root_val = root1.val + root2.val
root = TreeNode(root_val)
# 左
root.left = self.mergeTrees(root1.left,root2.left)
# 右
root.right = self.mergeTrees(root1.right,root2.right)
return root
三、二叉搜索树中的搜索
3.1 题目
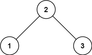
给定二叉搜索树(BST)的根节点 root 和一个整数值 val。
你需要在 BST 中找到节点值等于 val 的节点。 返回以该节点为根的子树。 如果节点不存在,则返回 null 。
示例 1:

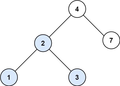
输入:root = [4,2,7,1,3], val = 2 输出:[2,1,3]
示例 2:

输入:root = [4,2,7,1,3], val = 5 输出:[]
提示:
- 数中节点数在
[1, 5000]范围内 1 <= Node.val <= 10^7root是二叉搜索树1 <= val <= 10^7
3.2 题目链接
3.3 解题思路和过程想法
(1)解题思路
结合搜索树的结果特性进行搜索,小于根节点的值就往继续左搜索,大于根节点的值就往右继续搜索,否则直接返回根节点的位置。
(2)过程想法
总体思路比较简单。
3.4 代码
class Solution:
def searchBST(self, root: Optional[TreeNode], val: int) -> Optional[TreeNode]:
# 递归出口
if not root:
return None
if val == root.val:
return root
# 递归
if val > root.val:
return self.searchBST(root.right,val)
if val < root.val:
return self.searchBST(root.left,val)
四、验证二叉搜索树
4.1 题目
给你一个二叉树的根节点 root ,判断其是否是一个有效的二叉搜索树。
有效 二叉搜索树定义如下:
- 节点的左子树只包含 小于 当前节点的数。
- 节点的右子树只包含 大于 当前节点的数。
- 所有左子树和右子树自身必须也是二叉搜索树。
示例 1:

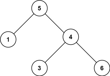
输入:root = [2,1,3] 输出:true
示例 2:

输入:root = [5,1,4,null,null,3,6] 输出:false 解释:根节点的值是 5 ,但是右子节点的值是 4 。
提示:
- 树中节点数目范围在
[1, 10^4]内 -2^31 <= Node.val <= 2^31 - 1
4.2 题目链接
4.3 解题思路和过程想法
(1)解题思路
主体思路是验证当前树的根和左右子树是否符合搜索树的特性,但是会有点问题:当前的小树符合搜索树的要求,但是其中的左右子树的节点确与根节点的值不符,为避免该情况,使用一个pre指针,令它指向当前节点的爷爷节点。此处使用中序遍历会比较方便,因为这样就是递增的关系了。
(2)过程想法
最初没想到小树的节点与爷爷节点值相悖的情况,算是坑吧。
4.4 代码
class Solution:
def isValid(self,root) -> bool:
# 递归出口
if not root:
return True
# 左
left = self.isValid(root.left)
# 根
if self.pre:
if self.pre.val >= root.val:
return False
# 记录前一根节点的值!!!不能仅判断当前小树是否符合要求
self.pre = root
# 右
right = self.isValid(root.right)
return left and right
def isValidBST(self, root: Optional[TreeNode]) -> bool:
# 中序遍历:左根右
self.pre = None
return self.isValid(root)
五、Tips
5.1 递归中的”根“指的是什么
前序遍历的顺序是”根左右“,中序遍历的顺序是”左根右“,后序遍历的顺序是”左右根“,其中左右的关系是一样的,只是根的位置不同。根据递归的内部原理——利用不断的压栈,最终到达树的最深处再进行细节操作,”根“——其实就是主体的判断与处理细节,并在完成相关操作后进行弹栈。故在写递归时,只需判断出递归顺序和递归出口,再结合”根“部分的理解,自然就能写出整个递归过程,而不是每次都是误打误撞的写递归。
5.2 递归函数何时需要有返回值
如果递归函数没有返回值,将会一直遍历整棵树,直到遍历结束;若有返回值的话,则表明程序会在一定条件下提前结束遍历,直接返回结果。故在只需查找某个符合要求节点的情景下,递归函数应带有返回值。
文章介绍了如何递归地构建最大二叉树,以及合并两个二叉树的算法,涉及查找特定值、验证二叉搜索树等技术,强调了递归在这些问题中的核心作用。





