回归:对数据点拟合的过程
利用Logistic回归进行分类的主要思想是:根据现有数据对分类边界线建立回归公式,以此进行分类
一般过程:
(1)收集数据:采用任意方法收集数据。
(2)准备数据:由于需要进行距离计算,因此要求数据类型为数值型。另外,结构化数据
格式则最佳。
(3)分析数据:采用任意方法对数据进行分析。
(4)训练算法:大部分时间将用于训练,训练的目的是为了找到最佳的分类回归系数。
(5)测试算法:一旦训练步驟完成,分类将会很快。
(6)使用算法:首先,我们需要输入一些数据,并将其转换成对应的结构化数值;
接着,基于训练好的回归系数就可以对这些数值进行简单的回归计算,判定它们属于
哪个类别. ,在这之后,我们就可以夺输出的类别上做一些其他分析工作。
基于Logistic回归和Sigmoid函数的分类
概述:
- 优点:计算代价不高,易于理解和实现。
- 缺点:容易欠拟合,分类精度可能不高。
- 使用数据类型:数值型和标称型数据。
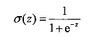
Sigmoid函数:

如果横坐标刻度足够大,Sigmoid函数看起来就像一个阶跃函数

实现Logistic回归分类器:每个特征都乘以一个回归系数,然后把所有的结果值相加,将这个总和带入Sigmoid函数,得到一个范围在0~1的数值,大于0.5归入1类,小于0.5归入0类(Logistic回归可以被看成是概率估计)
next problem: 最佳回归系数是什么?如何确定它们的大小?
基于最优化方法的最佳回归系数确定
Sigmoid函数的输入记为z,公式为:
z=w0x0+w1x1+w2x2+…+wnxn
向量形式:z = wTx
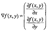
最优化方法:梯度上升法
基本思想:要找到某函数的最大值,最好的方法是沿着该函数的梯度方向探寻。如果梯度记为反三角 , 则函数f(x,y)的梯度由
下式表示:

注意:函数f(x,y)必须要在待计算的点上有定义并且可微。
梯度算法的迭代公式:

该公式一直被迭代执行,知道达到某个停止条件为止,比如迭代次数达到某个指定值或算法达到某个可以允许的误差范围

梯度下降法,与梯度上升算法一样,只是公式中的加法需要变成减法。梯度上升法用来求函数的最大值,梯度下降算法用来求函数的最小值
TODO:
[ ] 实现代码上传至github
参考:
- 《机器学习实战》
4万+

被折叠的 条评论
为什么被折叠?



