开篇
从一道题开始讲起:给你一个任意点,让你判断这个点在不在这个扫描器范围内。
v.dir = function() {return Math.atan2(this.y, this.x)}
没错,这道题我们可以使用向量的方向来解。因为这里的 dir 是由向量与 x 轴夹角决定的,所以判断点是否在扫描器范围内,我们只需要计算点坐标对应的向量的 dir 值,是否在扫描器的范围内就可以了。代码如下:
const isInRange = v0.dir > Math.PI / 3 && v0.dir < 2 * Math.PI / 3
这是一个很简单、直观的解法,但是它不够完美,因为这个判断和扫描器的方向有关。什么意思呢?从上面的图中你可以看到,现在它正对着 y 轴正方向,所以角度在 π/3 和 2π/3 之间。但如果将它的方向旋转,或者允许它朝向任意的方向,我们就必须要修改对应的角度值了。这个时候就会非常麻烦。
因此,我们会使用一个更通用的解法,也就是利用向量的乘法来解。那具体怎么做呢?别着急,我先带你来复习一下我们高中学过的向量乘法的知识,如果你记得不是特别清楚,正好可以借着这个机会来加深印象。
我们知道,向量乘法有两种,一种是点乘,一种是叉乘,它们有着不同的几何和物理含义。下面,我们一一来看。
向量的点乘
首先,我们来看向量的点乘。
假设,现在有两个 N 维向量 a 和 b,a = [a , a , …a ],b = [b , b , …b ],那向量的点积代码如下:
a•b = a1_b1 + a2_b2 + … + an*bn
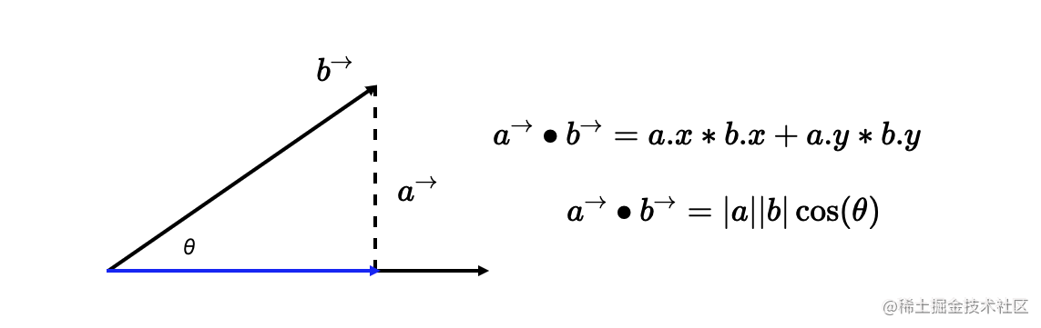
在 N 维线性空间中,a、b 向量点积的几何含义,是 a 向量乘以 b 向量在 a 向量上的投影分量。它的物理含义相当于 a 力作用于物体,产生 b 位移所做的功。点积公式如下图所示:
好了,现在你已经知道 a、b 向量点积的定义了。那关于还有两个比较特殊的情况,你需要掌握。第一种是,当 a、b 两个向量平行时,它们的夹角就是 0°,那么 a·b=|a|*|b|,用 JavaScript 代码表示就是:
a.x * b.x + a.y * b.y === a.length * b.length;
第二种是,当 a、b 两个向量垂直时,它们的夹角就是 90°,那么 a·b=0,用 JavaScript 代码表示就是:
a.x * b.x + a.y * b.y === 0;
向量的叉乘
叉乘和点乘有两点不同:首先,向量叉乘运算的结果不是标量,而是一个向量;其次,两个向量的叉积与两个向量组成的坐标平面垂直。怎么理解呢?我们接着往下看。
以二维空间为例,向量 a 和 b 的叉积,就相当于向量 a(蓝色带箭头线段)与向量 b 沿垂直方向的投影(红色带箭头线段)的乘积。那如下图所示,二维向量叉积的几何意义就是向量 a、b 组成的平行四边形的面积。
那叉乘在数学上该怎么计算呢?假设,现在有两个三维向量 a(x , y , z ) 和 b(x , y , z ),那么,a 与 b 的叉积可以表示为一个如下图的行列式:
其中 i、j、k 分别是 x、y、z 轴的单位向量。我们把这个行列式展开,就能得到如下公式:
a X b = [y1 * z2 - y2 * z1, - (x1 * z2 - x2 * z1), x1 * y2 - x2 * y1]
我们计算这个公式,得到的值还是一个三维向量,它的方向垂直于 a、b 所在平面。因此,我们刚才说的二维空间中,向量 a、b 的叉积方向就是垂直纸面朝向我们的。那有什么办法可以很容易,就确定出 a、b 的叉积方向呢?
那就轮到左手系和右手系,其中 x 轴向右、y 轴向下的坐标系是右手系。在右手系中求向量 a、b 叉积的方向时,我们可以把右手食指的方向朝向 a,把右手中指的方向朝向 b,那么大拇指所指的方向就是 a、b 叉积的方向,这个方向是垂直纸面向外(即朝向我们)。因此,右手系中向量叉乘的方向就是右手拇指的方向,那左手系中向量叉乘的方向自然就是左手拇指的方向了。
在二维空间里,由于 z 的值为 0,因此我们得到的向量 a X b 的数值,就等于 x * y - x * y 。那它的物理意义是什么呢?二维空间中向量叉乘的物理意义就是 a 和 b 的力矩(力 矩你可以理解为一个物体在力的作用下,绕着一个轴转动的趋向。它是一个向量,等于力臂 L 和力 F 的叉乘。
首先,对于任意一点 v ,我们先将它归一化。简单来说归一化就是,用 v 的 x、y 分别除以它的绝对值。归一化后的向量方向不变,长度为 1。归一化是向量运算中一个非常重要的操作,用处也非常多。比如说,在向量乘法里,如果 a、b 都是长度为 1 的归一化向量,那么|a X b| 的结果就是 a、b 夹角的正弦值,而|a • b|的结果就是 a、b 夹角的余弦 值。这个特性在图形学里用处非常大,你一定要记住它。
好了,再说回来,我们把归一化的向量 a 叉乘扫描器中线上的 v(0,1),由于扫描器关于 y 轴对称,所以扫描器边缘与 y 轴的夹角是正负 30 度。那么在与单位向量求叉积的时候, 就会出现 2 种情况:
点在扫描范围内,如向量 a,就一定满足: |a X v| <= ||a||v|sin(30°)| = |sin(30°)| = 0.5;
点不在扫描范围内,如向量 b,就一定满足:|b X v| > ||b||v|sin(30°)| = |sin(30°)| = 0.5。
因此,只要任意一点所在的向量与单位向量的叉积结果的绝对值不大于 0.5(即 sin30°),就说明这个点在扫描范围内。所以我们可以用如下代码来判断:
const isInRange = Math.abs(new Vec2(0, 1).cross(v0.normalize())) <= 0.5; // v0
好了,关于向量乘法的内容,我们就全部复习完了,相信你已经很好地掌握它们了。
要点总结
本文我们学习了向量的乘法,包括点乘与叉乘。
其中点乘的几何意义是向量 a 与它在向量 b 所在的轴的投影向量的乘积,物理意义是力向量产生的位移向量所做的功。叉乘的几何意义是向量 a 和向量 b 构成的平行四边形的面积,物理意义是力产生的力矩。
最后,我们还要记住,把向量归一化以后,我们就可以通过向量的点乘与叉乘快速求出向量夹角的正弦和余弦值。
最后
为大家准备了一个前端资料包。包含54本,2.57G的前端相关电子书,《前端面试宝典(附答案和解析)》,难点、重点知识视频教程(全套)。



有需要的小伙伴,可以点击下方卡片领取,无偿分享
这篇博客探讨了如何使用向量的点乘和叉乘来判断点是否在扫描器范围内,适用于前端开发者,尤其是Vue.js方向。通过复习向量乘法的基本概念,包括点乘的几何和物理含义,以及叉乘的计算和二维空间的应用,解释了如何通过向量操作优化问题解决。文章最后总结了向量乘法的关键点,并提供了前端学习资源。

被折叠的 条评论
为什么被折叠?



