题目传送门
前言
本文为作者在参考多篇题解后觉得个人难以读懂(主要原因为作者太菜细节缺失),本文将通过配图来解决无法读懂这一问题。
题意简述
给定 a 1 , a 2 , ⋯ , a n a_1,a_2,\cdots,a_n a1,a2,⋯,an 以及修改每个 a i a_i ai 的代价 c i c_i ci ,希望通过对于每个 i i i ,都有 a i = a a i a_i=a_{a_i} ai=aai
为了方便给出两组样例及配图(蓝字为有向边终点的修改权值)
样例1
输入
5
2 4 4 5 3
1 1 1 1 1
输出
3
图

说明
将
a
1
,
a
4
,
a
5
a_1,a_4,a_5
a1,a4,a5 分别改为
1
,
4
,
5
1,4,5
1,4,5后,我们得到

样例2
输入
8
1 2 5 5 3 3 4 4
9 9 2 5 9 9 9 9
输出
7
图

思路
基环树版子题。
我们想到对于每组
a
i
a_i
ai ,都建立一条从
a
i
a_i
ai 到
i
i
i 的单向边,并定义
a
i
a_i
ai 为
i
i
i 的父亲。
这样一来,题目条件变为,从一个点
i
i
i 出发,其父亲等于其祖父,换句话说,从一个点
i
i
i 出发,逆箭头走一步等于再走一步。
进一步地, 要么
i
i
i 为自环,要么
a
i
a_i
ai(
i
i
i 的父亲) 为自环。
显然若
i
i
i 不满足条件,将
a
i
a_i
ai 修改为
i
i
i 最划算。此处多题解都有证明,本处不再赘述。
由上图,显然这是一个外向基环树森林(每个点有且仅有一条入边),例如上图在每个联通块的环中删掉一条边后,根节点有
1
,
2
,
(
3
or
5
)
1,2,(3\ \text{or}\ 5)
1,2,(3 or 5)。不妨设整张图联通,否则可以按不同联通块考虑。
基环树典型操作:从环上选一边特判,然后树形dp剩下的两颗树。
(很玄学看不懂就别看了)
本题中,我们按照USACO的思路讨论两种情况(Subtask3和Subtask4)
Subtasks:
- Input 3: N ≤ 20 N≤20 N≤20
- Inputs 4-9: a i ≥ i a_i≥i ai≥i
- Inputs 10-15: All a i a_i ai are distinct.
- Inputs 16-21: No additional constraints.
Subtask 3
Subtask3(Inputs4-9)中,每个
a
i
a_i
ai 都大于等于
i
i
i,这保证了图上除了自环不存在其他环1,
例如(USACO样例太大,此处为作者自制):
7
1 3 4 6 5 7 7
1 1 1 1 1 1 1
图:

手玩几组数据,我们注意到好吧图画出来还真挺显然的,整张图上所有连通块不是自环就是“一颗树”,但是树的根节点是个自环。
对于所有自环的(如上图就是
1
,
5
,
7
1,5,7
1,5,7,是的,基环树上的自环也算),直接把
c
i
c_i
ci 修改为
0
0
0,这样方便后面累加修改值和树形dp初始化时不用讨论。
树形dp
设
d
p
i
,
0
dp_{i,0}
dpi,0 表示以
i
i
i 为根的子树修改最小值,其中
i
i
i 不作修改。
设
d
p
i
,
1
dp_{i,1}
dpi,1 表示以
i
i
i 为根的子树修改最小值,其中
i
i
i 作修改,修改
a
i
=
i
a_i=i
ai=i。
设
u
u
u 的儿子集合为
son
u
\text{son}_u
sonu,
则我们有
- 若根不作修改,则根的儿子必须修改。因此
d p i , 0 = ∑ j ∈ son i d p j , 1 dp_{i,0}=\sum_{j\in{\text{son}_i}}dp_{j,1} dpi,0=∑j∈sonidpj,1 - 若根作修改,则根的儿子可修可不修。因此
d p i , 1 = c i + ∑ j ∈ son i min { d p j , 0 , d p j , 1 } dp_{i,1}=c_i+\sum_{j\in{\text{son}_i}}\min\{dp_{j,0},dp_{j,1}\} dpi,1=ci+∑j∈sonimin{dpj,0,dpj,1}
从根开始递归计算即可,注意要特判掉回到根节点的那条边,防止重复计算。
最后的答案应为
d
p
i
,
1
dp_{i,1}
dpi,1,因为根节点应为一个自环,必须修改
代码2:
int dfs(int u, int root)
{
dp[u][0] = 0;
dp[u][1] = c[u];
for (auto v: son[u]) {
if (v == root) continue;
dfs(v, root);
dp[u][0] += dp[v][1];
dp[u][1] += min(dp[v][0], dp[v][1]);
}
return dp[u][1];
}
Subtask 4
Subtask4(Input10-15)中,每个
a
i
a_i
ai 都不同。
例如(此处同为作者自制):
7
5 2 4 6 1 7 3
1 1 1 1 1 1 1
看图:

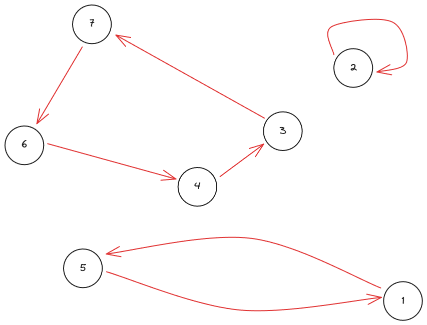
显然,整个图上的联通块都是环。至于证明,留给读者自证好了(逃)。
怎么解决环上问题呢?
首先特判自环。
剩下的环中,随便选一条边,然后就又双叒叕★注意到★这谁注意得到啊喂在此边的最终解决方案里,至少有一个点需为自环(FAQ:可是两个点都为自环会浪费吧 ANS:这个显然树形dp会在枚举一端点时考虑到要不要修改另一端点的,因此此处不需考虑)。
那么,我们分别求出将此边上两端点修改为自环后,以其为根节点做树形dp的代价,然后取最小值。
例如,对于上图来说,3到7这一条边,我们直接选择3作根节点树形dp(此处不需要修改是因为树形dp的深搜会自动考虑该情况的),得到结果等于对于(3->7->6->4)这一棵树的dfs结果,也就是2,对于7我们得到同样的结果,因此答案为2,累加到总答案上。
合并两个Subtask
我们再来看这张图:

其中含有的环可以用Subtask4的思路,随便选一条边,将其分开树形dp:

自认为此解比USACO官方的分类讨论简单点:
Full Solution:
We can combine the ideas from subtask 3 and 4
. For each component, locate the cycle using Floyd’s Algorithm or DFS. If the cycle’s length is 1, we can just use the solution from subtask 3
. Otherwise, use the idea from subtask 4 to convert the cycle into 2 instances of a rooted tree and solve each with subtask 3’s solution.
大意:将环做法和树做法融合。每次先用Floyd算法或深搜找环,然后判环的长度。若为1,直接树形dp。否则,用Sub4的思想,断环为两树,再套sub3的做法。
VS 我的改进
对于每个联通块直接找环,然后不管环的长度直接断环为链,如果是自环无影响,因为一开始就初始化 c[自环点]=0 了
正确性证明:
如何保证这样一定涵盖了最优解呢?
接下来纯粹讨论一下断环为链的做法没有遗漏的原因。
首先证明若环上一边的两点中皆无自环,则一定不合法。
证:设此边起点为x,则x的父亲即此边终点,若两者皆不是自环则根据定义不合法。Q.E.D.
然后,就讨论两点的修改这步,我们是分开讨论,互不影响,没有任何问题。由于保证了这条边的合法性,所以得到
这条:此边在图中等于不存在,无需考虑。因此,原来的恶心基环树变成了一个热情的小哈可爱的树,终于可以正常树形dp辣
代码
#include <bits/stdc++.h>
using namespace std;
#define int long long
const int N = 2e5 + 5;
int n, a[N];
vector<int> son[N]; // a[i]的反函数
int c[N]; // 修改a[i]的代价
int r1, r2; // a[r1] = r2
bool vst[N];
int dp[N][2]; // 子树根为u,a[u]!=u(0)或a[u]==u(1)的最小代价
void find_loop(int u, int rt)
{
vst[u] = 1;
for (auto v: son[u]) {
if (v == rt) {
r1 = v;
r2 = u;
return ;
}
if (vst[v]) continue;
find_loop(v, rt);
}
}
int dfs(int u, int rt)
{
dp[u][0] = 0;
dp[u][1] = c[u];
for (auto v: son[u]) {
if (v == rt) continue;
dfs(v, rt);
dp[u][0] += dp[v][1]; // a[u]!=u,所以a[v]必须等于v
dp[u][1] += min(dp[v][0], dp[v][1]); // a[u]==u,所以a[v]可以等于v或不等于v
}
return dp[u][1];
}
signed main()
{
ios::sync_with_stdio(0);
cin.tie(0);
cout.tie(0);
cin >> n;
for (int i = 1; i <= n; ++i) {
cin >> a[i];
son[a[i]].push_back(i);
}
// 需满足条件:对于任意i,a[a[i]]=a[i]
// 显然将a[i]修改为i最划算
for (int i = 1; i <= n; ++i) {
cin >> c[i];
// is indempotent
if (a[i] == i) c[i] = 0;
}
int ans = 0;
for (int i = 1; i <= n; ++i) {
// for each component, locate the loop use dfs
if (vst[i]) continue;
r1 = r2 = 0;
find_loop(i, i);
if (r1 == 0) continue; // no loop
// choose any arbitrary edge in the loop
// break the edge and make the two vertices indempotent
int res1 = dfs(r1, r1);
int res2 = dfs(r2, r2);
ans += min(res1, res2);
}
cout << ans << '\n';
return 0;
}
后记
作者制作不易,如果您读懂或觉得有帮助,请留个赞再走qwq
否则,也请您指出不足之处,谢谢!
证明:假设环由 a x 1 → x 1 = a x 2 → x 2 = a x 3 → ⋯ x k − 1 = a x k → x k = a x 1 a_{x_1}\rightarrow x_1=a_{x_2}\rightarrow x_2=a_{x_3}\rightarrow\cdots x_{k-1}=a_{x_k}\rightarrow x_k=a_{x_1} ax1→x1=ax2→x2=ax3→⋯xk−1=axk→xk=ax1 构成,则显然 a x 1 ≥ x 1 = a x 2 ≥ ⋯ x k − 1 = a k ≥ x k = a x 1 ⟹ x 1 ≥ x k ≥ x 1 ⟹ x 1 = x k a_{x_1}\geq x_1=a_{x_2}\geq\cdots x_{k-1}=a_{k}\geq x_k=a_{x_1}\Longrightarrow x_1\geq x_k\geq x_1\Longrightarrow x_1=x_k ax1≥x1=ax2≥⋯xk−1=ak≥xk=ax1⟹x1≥xk≥x1⟹x1=xk,即此环上起点等于终点,所以此环长度为1,为自环。 ↩︎
注意,本文除了最后贴上AC代码,其余代码都为作者写博时手敲,不保证正确性。 ↩︎
USACO Bessie's Function G 题解解析
1037

被折叠的 条评论
为什么被折叠?



