给你单链表的头节点 head ,请你反转链表,并返回反转后的链表。
示例 1:

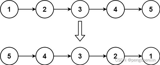
输入:head = [1,2,3,4,5]
输出:[5,4,3,2,1]
示例 2:

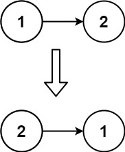
输入:head = [1,2]
输出:[2,1]
示例 3:
输入:head = []
输出:[]
/**
* Definition for singly-linked list.
* struct ListNode {
* int val;
* ListNode *next;
* ListNode() : val(0), next(nullptr) {}
* ListNode(int x) : val(x), next(nullptr) {}
* ListNode(int x, ListNode *next) : val(x), next(next) {}
* };
*/
class Solution {
public:
ListNode* reverseList(ListNode* head) {
if(head==NULL||head->next==NULL)
{
return head;
}
ListNode* l=reverseList(head->next);
head->next->next=head;
head->next=NULL;
return l;
}
};
来源:力扣(LeetCode)
链接:https://leetcode-cn.com/problems/reverse-linked-list
著作权归领扣网络所有。商业转载请联系官方授权,非商业转载请注明出处。
该篇博客介绍了如何使用递归方法在C++中反转一个单链表。通过示例代码展示了一个简单的反转链表的解决方案,适用于空链表、只有一个节点的链表以及多个节点的链表。
333

被折叠的 条评论
为什么被折叠?



