制造业作为国民经济的支柱产业,其生产效率的提升对推动高质量发展具有关键意义
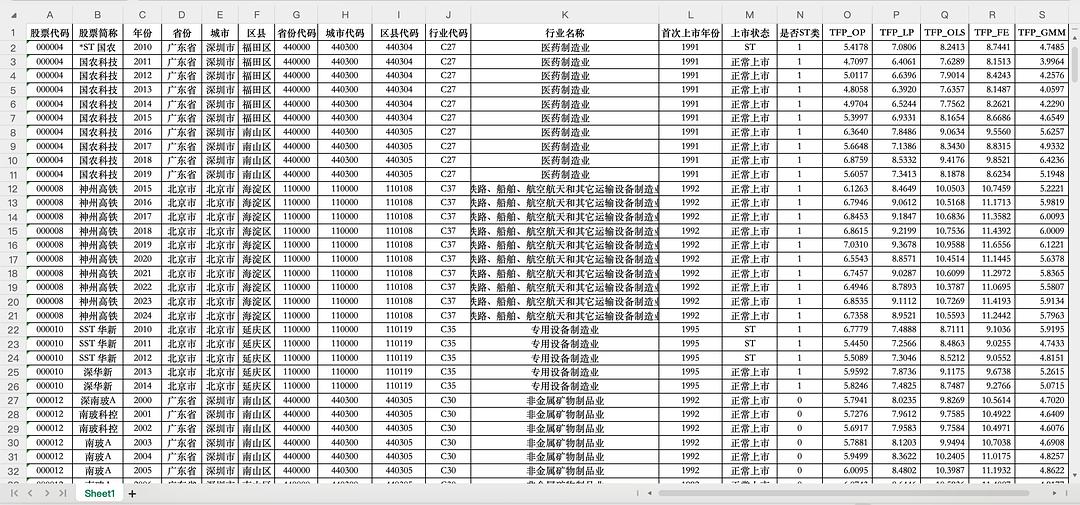
全要素生产率(TFP)是衡量生产要素配置效率与技术进步水平的重要指标,能够综合反映资本、劳动及技术在经济增长中的贡献涵盖五种主流估算方法:TFP_OP、TFP_LP、TFP_OLS、TFP_FE、TFP_GMM
可为研究制造业生产率演进规律、技术创新效率、产业结构升级以及政策效应评估提供坚实的数据基础
一、数据介绍
数据名称:制造业全要素生产率
数据范围:制造业
时间范围:2000-2024年
样本数量:43500条
数据来源:上市公司年报
更多说明:包含TFP_OP、TFP_LP、TFP_OLS、TFP_FE、TFP_GMM五种常用估算方法结果
二、数据指标

三、数据概览
数据概览

【下载→
方式一(推荐):主页 ↓个人↓简介
方式二:数据下载地址汇总_-优快云博客
制造业全要素生产率分析
709

被折叠的 条评论
为什么被折叠?



