财政分权对经济发展的影响主要体现在推动地方政府参与经济活动,激发经济潜力财政分权使得地方政府拥有更多的财政自主权,能够更自主地制定和执行经济政策,以满足地方经济发展的需要。这种自主性可以激发地方政府的积极性和主动性,推动他们更加深入地参与到经济活动中来,从而激发地方经济的潜力。例如,地方政府可以利用其财政自主权,通过提供税收优惠、财政补贴等方式吸引外部投资,促进本地产业的发展。促进资源的有效配置和利用在中央集权的体制下,资源往往被过度集中在中央政府,导致地区间的差距逐渐扩大。
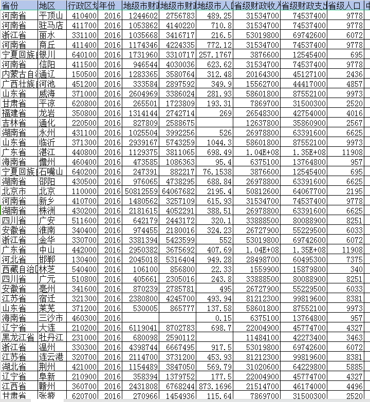
数据名称:地级市财政分权指标面板数据
数据年份:2005-2022年
指标:省份 地区 行政区划代码 年份 地级市财政收入 地级市财政支出 地级市人口 省级财政收入 省级财政支出 省级人口 中央财政收入 中央财政支出 全国总人口 地级市人均财政收入 地级市人均财政支出 省级人均财政收入 省级人均财政支出 中央人均财政收入 中央人均财政支出 地级市人均财政收入2 地级市人均财政支出2 FD1 FD2 FD3 FD4 FD5 FD6 FD7 FD8 FD9 FD10 FD11 FD12 FD13 FD14 FD15 FD16 FD17 FD18 FD19 FD20 FD21 FD22 FD23 FD24 Pressure1 Pressure2
截图


【下载→
方式一(推荐):主页个人 简介
经管数据库-优快云博客
方式二:数据下载地址汇总-优快云博客
582

被折叠的 条评论
为什么被折叠?



