给你一棵二叉树的根节点 root ,翻转这棵二叉树,并返回其根节点。
示例 1:

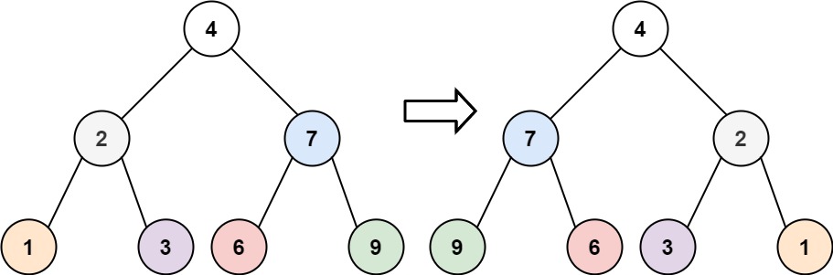
输入:root = [4,2,7,1,3,6,9] 输出:[4,7,2,9,6,3,1]
示例 2:

输入:root = [2,1,3] 输出:[2,3,1]
示例 3:
输入:root = [] 输出:[]
提示:
- 树中节点数目范围在
[0, 100]内 -100 <= Node.val <= 100
方法一:递归法
class Solution {
public TreeNode invertTree(TreeNode root) {
if (root == null) {
return null;
}
// 递归翻转左右子树
TreeNode left = invertTree(root.left);
TreeNode right = invertTree(root.right);
// 交换左右子树
root.left = right;
root.right = left;
return root;
}
}
方法二:迭代法(使用栈)
import java.util.Stack;
class Solution {
public TreeNode invertTree(TreeNode root) {
if (root == null) {
return null;
}
Stack<TreeNode> stack = new Stack<>();
stack.push(root);
while (!stack.isEmpty()) {
TreeNode node = stack.pop();
// 交换左右子树
TreeNode temp = node.left;
node.left = node.right;
node.right = temp;
// 将左右子树入栈
if (node.left != null) {
stack.push(node.left);
}
if (node.right != null) {
stack.push(node.right);
}
}
return root;
}
}
461

被折叠的 条评论
为什么被折叠?



