题目描述:将二叉排序树转换成一个排序的双向链表,要求:不能创建任何新的节点,只能通过调整指针的指向来实现;

二叉排序树的一个很重要的特性就是:二叉树中序遍历的结果是一个递增的序列。由这个特性可以知道该题需要通过中序遍历的思想来解决。
一.简单直观的解法
可以看到上述序列是二叉树的中序遍历的结果,我们可以:
- 用vector保存二叉树中序遍历的结果
- 从头到尾调整指针,前一个节点的right指向后一个节点,后一个节点的left指向前一个节点
- 返回vector的第一个元素,就是双链表的头节点。
代码如下:
TreeNode* Convert(TreeNode* pRootOfTree)
{
if (pRootOfTree == nullptr) {
return pRootOfTree;
}
vector<TreeNode*> result;
MidTravel(pRootOfTree, &result);
int size = result.size();
TreeNode* pre = nullptr;
TreeNode* next = nullptr;
for (int i = 0; i < size-1; ++i) {
pre = result[i];
next = result[i+1];
pre->right = next;
next->left = pre;
}
return result[0];
}
void MidTravel(TreeNode* root, vector<TreeNode*>* result) {
if (root == nullptr) {
return;
}
MidTravel(root->left, result);
result->push_back(root);
MidTravel(root->right, result);
}
二. 不需要额外空间的解法
- 按照中序遍历的递归思路,先遍历左子树,然后处理根节点,最后遍历右子树。关键的步骤在于处理根节点。
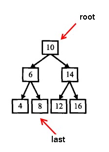
如下图所示,我们通过中序递归遍历过程中的一个状态来解析转换的过程,当中序遍历root指向10时,要满足转换成双向有序链表的请求,结点10左指针必须指向它中序遍历的前一个结点8,而前一个结点8的右指针必须指向结点10。
- 设置一个初始的last节点,假设它是双链表的最后一个节点。root的left指向last,last的right指向root,最后用root代替原来的last,root就成了双向链表的最后一个节点

代码如下:
root->left = last;
last->right = root;
last = root;
生成的双链表,前驱指针是left,后接指针是right。
这样才能把这两个结点双向连接起来,转换完成后,需要找到双向链表的头节点,也就是最左边的叶子节点。
下面是详细的实现代码:
//结点的结构
struct BSTNode{
int data;
BSTNode *left;
BSTNode *right;
};
//主函数
BSTNode* Convert2DoubleLinkList(BSTNode *root)
{
if(root == NULL)
return NULL;
BSTNode *last = NULL;
//二叉排序树转换成排序双向链表
Convert(root, &last);
//取得双向链表的头指针
while(root->left != NULL)
root = root->left;
return root;
}
//二叉排序树转换成双向链表
void Convert(BSTNode *root, BSTNode** last)
{
if(root == NULL)
return;
//遍历左子树
Convert(root->left, last);
//处理根节点
root->left = *last;
if((*last) != NULL)
(*last)->right = root;
*last = root;
//遍历右子树
Convert(root->right, last);
}
本文介绍如何不创建新节点,仅通过调整指针将二叉排序树转换为排序的双向链表。提供了两种方法:一种使用额外空间保存遍历结果,另一种直接在树上操作无需额外空间。最终返回链表头节点。
1107

被折叠的 条评论
为什么被折叠?



