首先给出公式
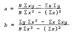
最小二乘法的公式
y = a*x+ b;

其中式中N是数据点的个数。注意,以上两式具有相同的分母,∑指逐项加法计算(取和)。∑x指对所有的x值求和,∑y指对所以的y值求和,∑(x^2)指对所有x的平方求和。∑xy指对所有的积xy进行取和计算。应注意,∑xy 与 ∑x*∑y是不相同的(“积的和”与“和的积”是不同的),同样(∑x)^2与∑(x^2)也是不相同的(“和的平方”与“平方的和”是不相同的)。
其实上方公式中的截距b求法是由 公式a的出来的
,把a带入这个公式的出来的。
最小二乘法解析
2万+

被折叠的 条评论
为什么被折叠?



