矢网,全称为矢量网络分析仪,主要用来测试S参数。在使用之前,我们都会有一个校准步骤,但是我们到底在较什么呢?
矢网是怎样的?
在了解矢网内部框图的时候,我们需要先了解S参数的定义。因为矢网的主要功能,就是测试各种部件的S参数。
由此可见,假设要测试一个两端口的器件,简单来说,需要以下几个步骤:
(1) 先给DUT的端口1发射一信号,然后测试出其返回来的功率,即可计算出S11
(2) 测试步骤(1)中,从端口2出来的信号功率,即可计算出S22
(3) 再给DUT的端口2发射一信号,然后测试出其返回来的功率,即可计算出S22
(4) 测试步骤(2)中,从端口1出来的信号功率,即可计算出S11.

![]()
上图是矢网的框图,可以看到矢网的设计理念,主要来源于S参数的定义。
源通过开关,分别作为端口1或者端口2的输入。通过定向耦合器分离出入射信号和反射信号,即分别测试出bn和an。
那为什么要校准呢?
上面的矢网框图是理想框图。定向耦合器的定向性是无穷大、反射信号和入射信号是完全被区分开的,矢网内部各种器件都是理想匹配的,连接电缆之间是没有插损的。
但是理想和现实的差距是有差距的。
所有的模拟器件都有非理想特性,比如器件之间的失配,电缆的插损,定向耦合器的不理想定向性等。这些都是实实在在存在的误差,这些误差造成了DUT实际S参数和矢网测试出来的S参数的差别。所以,校准的目的,就是将这些误差减小到最小。
校准都在干什么?
假设我们要对一两端口器件进行测试,根据矢网内部的误差来源,可得到矢网的误差模型,如下图所示。
这里,对所有的信号通路上的误差都做了映射,包括主信号通路、线路损耗、失配误差、泄露误差等。
这像蜘蛛网一样的信号流图,是否看的头都晕了,没关系,已经有人帮我们把模型进行了简化,如下图所示。这个就比较适合数学不太好的人看了,比如我。
同样,反方向也有6个误差参数。
正反方向加起来,即为12个误差参数,称之为12-term error mode。其中leakage error是指混频器的本振通路之间的泄露,不是指射频切换开关,这个12误差模型是假设开关的隔离度是理想的。
上面的公式中,S11、S22、S21、S12是我们需要测试的DUT的S参数,S11M、S22M、S21M、S12M是矢网内部测试到的S参数。
这两组S参数通过信号流图巧妙地联系起来了,形成了4个公式,其中包括待解误差。我们只需要把这些误差参数计算出来,则可以通过矢网测到的S参数推算出DUT实际的S参数。
讲讲经常用的TOSL校准方法
说说我经常采用的两端口校准,即使用开路、短路、匹配负载、直通四个校准件,采用的即是这种12-term校准模式。
下面将我们的校准步骤与上面的公式一一对应起来。
简单起见,这里假设这些校准件都是理想校准件。即open校准件的反射系数为1,;short校准件的反射系数为-1;match校准件的反射系数为0;直通校准件的S11=S22=0,S21=S12=0。
当然实际过程中,不可能理想;但是虽然不理想,但这些值都是已知的,所以也可以据此进行推算。
一般我们校准的时候,会这样:
(1) 对port1分别连接open,short和匹配负载。
这是在这可以干什么呢?
其实通过这三步操作,可以计算出e11,e00和e10e01。代入公式,即可算出上述误差 值。具体可以参见单端口网分什么原理?。
(2) 对port2分别连接open,short和匹配负载。基本同步骤(1)。
(3) 对port1和port2两边分别接上匹配负载,进行隔离度校准。
这又在干什么呢?
这可以之间计算出e30以及e’03。不过,从我参加工作以来,校准的时候,都没有用 过这个步骤,也就是没有校正过隔离度。其实,从原理上看,是应该较的。
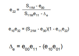
(4) 在两端口接上直通,这又是在计算什么呢?
假设直通是完全匹配的,则可得到S11=S22=0,S21=S12=0,代入上述的公式,即可计 算出:

同样,也可以计算出反方向对应的误差参数。
至此,可以得到上述4个公式中的12个误差参数的值。
所以通过校准步骤,我们可以较掉矢网上的大部分误差,进而获得DUT的实际S参数。
当然,也不是说,一校准,矢网就完全理想了。总有一些误差,是校准步骤较不掉的,比如说噪声、接收机的非线性特性等等。
参考文献:Doug Rytting,Network Analyzer Error Models and Calibration Methods
扫描图片关注微信号
矢量网络分析仪校准原理与方法
5万+

被折叠的 条评论
为什么被折叠?



