目录
2021年第十二届蓝桥杯软件类省赛python组
1.卡片
本题总分:5分
【问题描述】
小蓝有很多数字卡片,每张卡片上都是数字0到9
小蓝准备用这些卡片来拼一些数,他想从1开始拼出正整数,每拼一个,就保存起来,卡片就不能用来拼其它数了。
小蓝想知道自己能从1拼到多少。
例如,当小蓝有30张卡片,其中0到9各3张,则小蓝可以拼出1到10,但是拼11时卡片1已经只有一张了,不够拼出11
现在小蓝手里有0到9的卡片各2021张,共20210张,请问小蓝可以从1拼到多少?
提示:建议使用计算机编程解决问题。
3181
常规做法
li = [2021 for i in range(10)]
ans = 1
while True:
tmp = ans
while tmp // 10:
if li[tmp % 10] == 0:
break
li[tmp % 10] -= 1
print(li)
tmp //= 10
if li[tmp % 10] == 0: # 当tmp为个位数时不能进入上述循环
break
li[tmp % 10] -= 1
print(li)
ans += 1
print(ans - 1)
使用functions.Counter计数
from collections import Counter
def func():
li = [2021 for i in range(10)]
ans = 1
while True:
for k, v in Counter(str(ans)).items():
li[int(k)] -= int(v)
print(li)
if li[int(k)] < 0:
return ans - 1
ans += 1
if __name__ == '__main__':
print(func())
2.直线
本题总分:5分
【问题描述】
在平面直角坐标系中,两点可以确定一条直线。如果有多点在一条直线上,那么这些点中任意两点确定的直线是同一条。
给定平面上2×3个整点{ ( x , y ) | 0 ≤ x < 2 , 0 ≤ y < 3 , x ∈ Z , y ∈ Z } , 即横坐标是0到1(包含0和1)之间的整数、纵坐标是0到2(包含0和2)之间的整数的点。这些点一共确定了11条不同的直线。
给定平面上20×21个整点{ ( x , y ) | 0 ≤ x < 20 , 0 ≤ y < 21 , x ∈ Z , y ∈ Z},即横坐标是0到19(包含0和19)之间的整数、纵坐标是0到20(包含0和20)之间的整数的点。请问这些点一共确定了多少条不同的直线。
40257
求每条直线的斜率和截距,然后进行去重
不知道有没有更好的方法
'''
斜率:k = (y2 - y1) / (x2 - x1)
截距:b = - k * x1 + y1 = (x2 * y1 - x1 * y2) / (x2 - x1)
'''
x, y = map(int, input().split())
points = [[i, j] for i in range(x) for j in range(y)] # 每个点的坐标
line = set() # 用来存储每条线的斜率和截距
for i in range(len(points) - 1):
x1, y1 = points[i][0], points[i][1]
for j in range(i, len(points)):
x2, y2 = points[j][0], points[j][1]
if x1 == x2: # 当斜率为无穷时不进行计算,斜率为无穷时直线个数为x
continue
k = (y2 - y1) / (x2 - x1)
b = (x2 * y1 - x1 * y2) / (x2 - x1)
if (k, b) not in line:
line.add((k, b)) # 利用元组不可变的性质,可以直接存入集合中
print(len(line) + x) # 加上斜率为无穷时的直线个数x
3.货物摆放
本题总分:10分
【问题描述】
小蓝有一个超大的仓库,可以摆放很多货物。
现在,小蓝有n箱货物要摆放在仓库,每箱货物都是规则的正方体。小蓝规定了长、宽、高三个互相垂直的方向,每箱货物的边都必须严格平行于长、宽、高。
小蓝希望所有的货物最终摆成一个大的立方体。即在长、宽、高的方向上分别堆L、W、H的货物,满足n=L×W×H
给定n,请问有多少种堆放货物的方案满足要求。
例如,当n=4时,有以下6种方案:1×1×4、1×2×2、1×4×1、2×1×2、2×2×1、4×1×1
请问,当n=2021041820210418(注意有16位数字)时,总共有多少种方案?
提示:建议使用计算机编程解决问题。
2430
n = int(input())
line = set() # 存储可被n整除的边长
for i in range(1, int(pow(n, 1 / 2)) + 1):
if n % i == 0: # i能被n整除时i和n-i添加入list
line.add(i)
line.add(n // i)
ans = 0
for l in line:
for w in line:
for h in line:
if l * w * h == n:
ans += 1
print(ans)
4.路径
本题总分:10分
【问题描述】
小蓝学习了最短路径之后特别高兴,他定义了一个特别的图,希望找到图中的最短路径。
小蓝的图由2021个结点组成,依次编号1至2021
对于两个不同的结点a,b,如果a和b的差的绝对值大于21,则两个结点之间没有边相连;如果a和b的差的绝对值小于等于21,则两个点之间有一条长度为a和b的最小公倍数的无向边相连。
例如:结点1和结点23之间没有边相连;结点3和结点24之间有一条无向边,长度为24;结点15和结点25之间有一条无向边,长度为75.
请计算,结点1和结点2021之间的最短路径长度是多少。
提示:建议使用计算机编程解决问题。
10266837
import math
def gcm(x, y: int) -> int: # 求最小公倍数
return x * y // math.gcd(x, y) # gcd求最大公约数
n = int(input())
dp = [float('inf')] * (n + 1)
dp[1] = 0
for i in range(1, n + 1):
for j in range(i + 1, i + 22):
if j > n:
break
dp[j] = min(dp[j], dp[i] + gcm(i, j))
print(dp[n])
5.回路计算
本题总分:15分
【问题描述】
蓝桥学院由21栋教学楼组成,教学楼编号1到21。对于两栋教学楼a和b,当a和b互质时,a和b之间有一条走廊直接相连,两个方向皆可通行,否则没有直接连接的走廊。
小蓝现在在第一栋教学楼,他想要访问每栋教学楼正好一次,最终回到第一栋教学楼(即走一条哈密尔顿回路),请问他有多少种不同的访问方案?两个访问方案不同是指存在某个i,小蓝在两个访问方法中访问完教学楼i后访问了不同的教学楼。
提示:建议使用计算机编程解决问题。
881012367360
递归——太慢跑不出来
import math
import sys
sys.setrecursionlimit(10000)
n = int(input())
li = [i for i in range(2, n + 1)]
def dfs(li, li_tmp):
global count
if len(li_tmp) == len(li):
count += 1
return
for j in range(len(li)):
tmp = li_tmp[:] # 进行浅拷贝,不然后面回不去
if li[j] not in li_tmp and math.gcd(li_tmp[-1], li[j]) == 1:
li_tmp.append(li[j])
dfs(li, li_tmp)
li_tmp = tmp[:]
count = 0
for i in range(len(li)):
li_tmp = [li[i]]
dfs(li, li_tmp)
print(count)
状态压缩DP——yyds
from math import gcd
n = int(input())
m = 1 << n
dp = [[0 for j in range(n)] for i in range(m)] # dp[i][j]对于状态i,i的二进制表示中为1的位置 表示走过了教学楼j
load = [[False for j in range(n)] for i in range(n)] # 存储i, j之间是否有路
for i in range(1, n + 1):
for j in range(1, n + 1):
if gcd(i, j) == 1:
load[i - 1][j - 1] = True
dp[1][0] = 1
for i in range(1, m): # 枚举每一种状态
for j in range(n):
if i >> j & 1: # 判断状态i是否包含第j栋教学楼
for k in range(n): # 枚举所有可能从教学楼k走到教学楼j的情况
if i - (1 << j) >> k & 1 and load[k][j]: # 判断状态i除去j后是否包含k
dp[i][j] += dp[i - (1 << j)][k]
print(sum(dp[m - 1]) - dp[m - 1][0])
6.时间显示
时间限制:1.0s内存限制:256.0MB本题总分:15分
【问题描述】
小蓝要和朋友合作开发一个时间显示的网站。在服务器上,朋友已经获取了当前的时间,用一个整数表示,值为从1970年1月1日00:00:00到当前时刻经过的毫秒数。
现在,小蓝要在客户端显示出这个时间。小蓝不用显示出年月日,只需要显示出时分秒即可,毫秒也不用显示,直接舍去即可。
给定一个用整数表示的时间,请将这个时间对应的时分秒输出。
【输入格式】
输入一行包含一个整数,表示时间。
【输出格式】
输出时分秒表示的当前时间,格式形如HH:MM:SS,其中H表示时,值为0到23,MM表示分,值为0到59,SS表示秒,值为0到59时、分、秒不足两位时补前导0
[样例输入1]
46800999
[样例输出1]
13:00:00
[样例输入2]
1618708103123
[样例输出2]
01:08:23
python 内置函数解法
import time
n = int(input())
new_n = time.asctime(time.gmtime(n // 1000))
print(new_n[11:19])
算法解法
n = int(input())
n //= 1000
day = 24 * 60 * 60
n %= day
s = n % 60
n //= 60
m = n % 60
n //= 60
h = n
print("{:02d}:{:02d}:{:02d}".format(h,m,s))
7.杨辉三角
时间限制:1.0s内存限制:256.0MB本题总分:20分
【问题描述】
下面的图形是著名的杨辉三角形:

如果我们按从上到下、从左到右的顺序把所有数排成一列,可以得到如下数列:
1,1,1,1,2,1,1,3,3,1,1,4,6,4,1,
给定一个正整数N,请你输出数列中第一次出现N是在第几个数?
【输入格式】
输入一个整数N.
【输出格式】
输出一个整数代表答案。
【样例输入】
6
【样例输出】
13
一维数组法
def find_n(n):
if n == 1:
return 1
res = 3 # 已计算过的个数
li, l = [1, 2], 3 # 将要进行比对的行的元素及其行数
while n not in li:
res += len(li) * 2 - l % 2
li, l = [1] + [li[i] + li[i + 1] for i in range(len(li) - 1)] + ([li[-1] * 2] if l % 2 == 0 else []), l + 1
return res + li.index(n) + 1
if __name__ == '__main__':
n = int(input())
print(find_n(n))
数学规律法
如图所示:

def C(a, b): # 计算组合值
res = 1
tmp = a
for j in range(1, b + 1):
res = res * tmp // j
if res > n:
return res
tmp -= 1
return res
def check(k):
l, r = k * 2, n
while l < r:
mid = l + r >> 1
if C(mid, k) >= n:
r = mid
else:
l = mid + 1
if C(r, k) != n:
return False
print(r * (r + 1) // 2 + k + 1)
return True
n = int(input())
if n == 1:
print(1)
else:
k = 16
while not check(k):
k -= 1
8.左孩子右兄弟
时间限制:1.0s内存限制:256.0MB本题总分:20分
【问题描述】
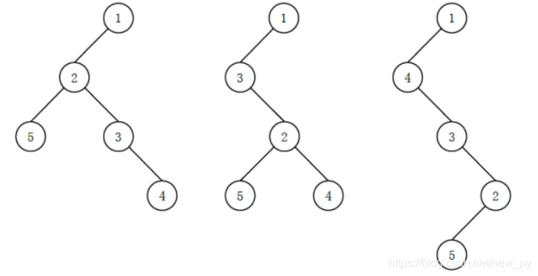
对于一棵多叉树,我们可以通过“左孩子右兄弟”表示法,将其转化成一棵二叉树。
如果我们认为每个结点的子结点是无序的,那么得到的二叉树可能不唯一。换句话说,每个结点可以选任意子结点作为左孩子,并按任意顺序连接右兄弟。
给定一棵包含N个结点的多叉树,结点从1至N编号,其中1号结点是根,每个结点的父结点的编号比自己的编号小。请你计算其通过“左孩子右兄弟”表示法转化成的二叉树,高度最高是多少。注:只有根结点这一个结点的树高度为0。
例如如下的多叉树:

可能有以下3种(这里只列出3种,并不是全部)不同的“左孩子右兄弟”表示:

其中最后一种高度最高,为4
【输入格式】
输入的第一行包含一个整数N。
以下N-1行,每行包含一个整数,依次表示2至N号结点的父结点编号。
【输出格式】
输出一个整数表示答案。
【样例输入】
5
1
1
1
2
【样例输出】
4
class node():
def __init__(self, val):
self.val = val
self.child = []
n = int(input())
tree = [None, node(val=0)]
for i in range(2, n + 1):
m = int(input())
tree.append(node(val = m))
tree[m].child.append(i)
def maxlen(n: node) -> int:
if len(n.child):
return len(n.child) + max(maxlen(tree[tmp]) for tmp in n.child)
return 0 # 在计算上一节点的子节点个数时已计算过,故不在计算节点本身,返回0
print(maxlen(tree[1]))
9.异或数列
时间限制:1.0s内存限制:256.0MB本题总分:20分
【问题描述】
Alice和Bob正在玩一个异或数列的游戏。初始时, Alice和Bob分别有一个整数a和b(a和b初始都为0),有一个给定的长度为n的公共数列 X 1 , X 2 , . . . , X n X_1, X_2, ... , X_n X1,X2,...,Xn
Alice和Bob轮流操作, Alice先手,每步可以在以下两种选项中选一种:
选项1:从数列中选一个X给 Alice的数异或上,或者说令a变为a⊕
X
i
X_i
Xi.(其中⊕表示按位异或)
选项2:从数列中选一个X给Bob的数异或上,或者说令b变为b⊕
X
i
X_i
Xi.
每个数
X
i
X_i
Xi都只能用一次,当所有
X
i
X_i
Xi均被使用后(n轮后)游戏结束。游戏结束时,拥有的数比较大的一方获胜,如果双方数值相同,即为平手。现在双方都足够聪明,都采用最优策略,请问谁能获胜?
【输入格式】
每个评测用例包含多组询问。询问之间彼此独立。
输入的第一行包含一个整数T,表示询问数。
接下来T行每行包含一组询问。其中第i行的第一个整数 n i n_i ni表示数列长度,随后 n i n_i ni个整数 X 1 , X 2 , X 3 , . . . , X n i X_1, X_2, X_3, ..., X_{n_i} X1,X2,X3,...,Xni表示数列中的每个数。
【输出格式】
输出T行,依次对应每组询问的答案。
每行包含一个整数1、0或-1分别表示 Alice胜、平局或败。
【样例输入】
4
1 1
1 0
2 2 1
7 992438 1006399 781139 985280 4729 872779 563580
【样例输出】
1
0
1
1
【评测用例规模与约定】
对于所有评测用例,1≤T≤200000, 1≤ ∑ i = 1 T n i \sum^T_{i=1}n_i ∑i=1Tni≤200000, 0≤ X i ≤ 2 20 X_i≤2^{20} Xi≤220
这题暂时还有点疑问,不会写。。
10.括号序列
时间限制:1.0s内存限制:256.0MB本题总分:25分
【问题描述】
给定一个括号序列,要求尽可能少地添加若干括号使得括号序列变得合法,当添加完成后,会产生不同的添加结果,请问有多少种本质不同的添加结果。两个结果是本质不同的是指存在某个位置一个结果是左括号,而另一个是右括号。
例如,对于括号序列(((),只需要添加两个括号就能让其合法,有以下几种不同的添加结果:()()()、()(())、(())()、(()())和((()))。
【输入格式】
输入一行包含一个字符串s,表示给定的括号序列,序列中只有左括号和右括号。
【输出格式】
输出一个整数表示答案,答案可能很大,请输出答案除以1000000007(即 1 0 9 10^9 109+7)的余数。
【样例输入】
((()
【样例输出】
5
【评测用例规模与约定】
对于40%的评测用例,|s|≤200
对于所有评测用例,1≤|s|≤5000
dp求解
本题方法是在哔哩哔哩上的大雪菜那里学来的,感兴趣的朋友可以去看看他的视频哦,最后1p讲的就是这道题
def func():
"""
:dp:前i个括号序列中左括号比右括号多j的方案的序列的集合
:i:前i个括号序列
:j:左括号比右括号多j个
:return:前n个括号序列中左括号比右括号多的方案的最小值
"""
dp = [[0 for i in range(n + 2)] for i in range(n + 1)]
dp[0][0] = 1
for i in range(1, n + 1):
if s[i - 1] == '(':
for j in range(1, n + 1):
dp[i][j] = dp[i - 1][j - 1]
else:
dp[i][0] = dp[i - 1][0] + dp[i - 1][1]
for j in range(1, n + 1):
dp[i][j] = dp[i][j - 1] + dp[i - 1][j + 1]
for i in range(n + 1): # 前n个括号序列中最小的
if dp[n][i]:
return dp[n][i]
s = list(input())
n = len(s)
mod = 10 ** 9 + 7
left = func() # 从左看计算
s.reverse() # 从右往左看括号序列,发现可将原序列反转并将'('和')'互换
for i in range(n):
if s[i] == ')':
s[i] = '('
else:
s[i] = ')'
right = func() # 从右看计算
print(left * right % mod)

本文介绍了2021年第十二届蓝桥杯软件类省赛Python组的部分题目,包括卡片计数、直线确定、货物摆放、路径计算、回路计算等算法问题,涉及计数、最短路径、回路搜索、时间转换和数学规律等多个主题,适合通过编程解决。
1万+





