力扣(LeetCode)官网 - 全球极客挚爱的技术成长平台
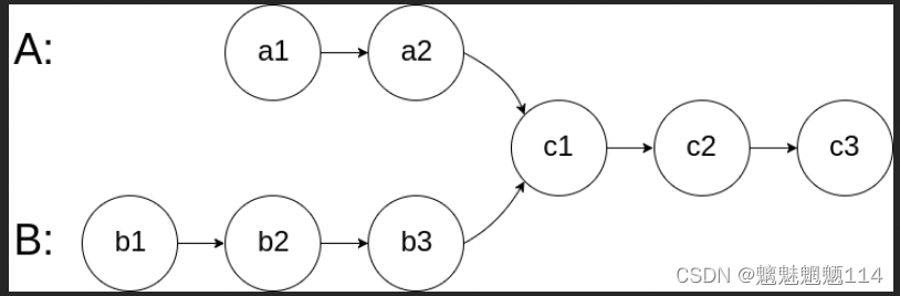
给你两个单链表的头节点
headA和headB,请你找出并返回两个单链表相交的起始节点。如果两个链表不存在相交节点,返回null。
题解:力扣(LeetCode)官网 - 全球极客挚爱的技术成长平台
代码如下:
public class Solution {
public ListNode getIntersectionNode(ListNode headA, ListNode headB) {
if(headA == null || headB == null){
return null;
}
ListNode head1 = headA;
ListNode head2 = headB;
while(head1 != head2) {
head1 = (head1 == null) ? headB : head1.next;
head2 = (head2 == null) ? headA : head2.next;
}
return head1;
}
}
博客围绕LeetCode题目展开,要求找出两个单链表相交的起始节点,若不存在相交节点则返回特定值,还给出了题解代码。

1658

被折叠的 条评论
为什么被折叠?



