目录
〇,知识背景
本文涉及到的知识背景:
(1)三次曲线、三次方程的判别式
(2)群、环、域、阿贝尔群、循环群、有限域、生成子群、同构群、群阶、拉格朗日定理
(3)同余、完全剩余系、逆元、加法生成元、欧拉φ函数、平方剩余、欧拉准则、二次互反律
(4)埃及乘法、离散对数问题、公钥体系
一,椭圆
椭圆方程: ,其中a>b>0

椭圆面积:S=PI * a * b
椭圆周长比较复杂,没有初等公式。
椭圆的周长可以用完全椭圆积分表示,其中就会涉及到一个形如的式子。
二,椭圆曲线
1,一般椭圆曲线
(1)方程
方程所描述的曲线,如果处处光滑(没有尖点、孤点、自交),那么就是椭圆曲线

(2)非椭圆曲线
2个反例:尖点和自交

下面的Montgomery曲线一章中,有孤点的例子。
(3)规约成常用椭圆曲线
可以变成
(4)退化为圆锥曲线

2,常用椭圆曲线
即
,其中a不为0
非退化的椭圆曲线都可以规约成这个形式。
因为的形式和完全椭圆积分中的式子一致,所以被称为椭圆曲线,实际上和椭圆的关系并不大。
后面只讨论常用椭圆曲线,加密算法中应该也只涉及这个。
右边为三次项:

3,Weierstrass方程(魏尔斯特拉斯方程)
常用椭圆曲线都可以规约成如下的简单形式:
这个好像是叫Weierstrass normal form吧,没太仔细查,不确定。
实际上,三次方程最常用的求根公式,也是先规约成这个形式,然后根据韦达定理可以推出求根公式。
4,椭圆曲线的判别式
以Weierstrass方程为例,下文也默认都讨论Weierstrass方程
判别式为,和三次方程的判别式相同,参考求根公式
这其实很好理解,椭圆曲线的形状,就是取决于它的对称轴和它的交点情况。
如果判别式为0,那么要么有三重根(尖点),要么有两重根(自交)
如果判别式不为0,那么就一定是光滑的,也就是椭圆曲线了。
5,椭圆曲线上的加法
以为例
我们来构造一个加法运算,让加法符合群的规则 数学与泛型编程(2)群论_加群所有有限阶元素构成g的一个子群-优快云博客
过曲线上的两点A、B画一条直线,找到直线与椭圆曲线的交点,交点关于x轴对称位置的点,定义为A+B,即为加法。

感谢图源 椭圆曲线加密算法 - 简书
作直线关于x轴(即椭圆曲线的对称轴)的对称直线

于是A+B+B'=A
为了让加法符合群,我们使用结合律,得到B+B'为单位元素0
于是,我们把B的对称点定义为-B
如果A、B重合,那么就过点A作切线。

6,加法群分析
OK,有了这个基本运算之后,我们再来全面分析,这样的加法能不能构成一个群?
(1)直线和曲线的交点
如果直线是垂直于x轴的,那么直线和曲线没有其他交点,也没有相切属性。
如果直线不是垂直于x轴,那么有方程组
既然已经有2个交点了,就一定会有第三个交点,但是可能会有重合的解,即切线的情况。
(2)封闭性
要想任意两个点相加之和仍然还在集合内,我们除了椭圆曲线上的所有点之外,还增加一个无穷远点
即,任意垂直于x轴的直线,与曲线的交点都在无穷远点,那么显然,它就是单位元素。
对于在x轴上的那些点D(至少1个,可能有多个),过点D作切线,也相交于无穷远点,
也就是说,D=-D,注意,这并不能推导出D=0,
类似的群,由平面的旋转方式所形成的群:群元素是指平面围绕原点的各种旋转方式,群运算是对两种旋转方式所做的合成,单位元素是旋转0度,D是旋转180度,D+D就是旋转0度
(3)群的运算和常量
群运算就是如上的加法运算(A+A就是作切线),逆运算就是取对称点(x轴上的点和无穷远点的对称点都是自身),
唯一的单位元素就是无穷远点
(4)群的公理

单位元素公理和消去公理已经很明显了,主要是结合性公理。
A+B+C=A+(B+C)
结合性的证明很困难,中文搜了几十个网页都找不到任何关于如何证明的内容,连思路都没有任何博主提到,甚至抄来抄去之后很多博主以为这个是显然的,其实这个是很不显然的。
7,椭圆曲线加法的结合性证明
我们使用Weierstrass normal form,它和直线相交的方程组是
根据韦达定理,三个根的和为
由此,如果已知直线和曲线相交的两个点,就可以轻松求出第三个点的坐标。
虽然群不需要交换性,只有阿贝尔群需要交换性,但是椭圆曲线加法的交换性太显然了,所以可以直接用。
下面证明结合性associativity:

其中
是曲线上的加法运算。
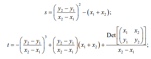
设P(x1,y1) Q(x2,y2) R(x3,y3)
设P+Q的坐标是(s,t),那么

其中Det是行列式determinant
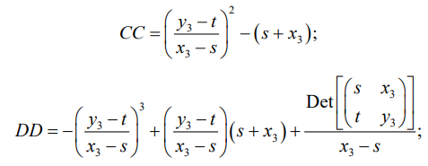
设P+Q+R的坐标是(CC,DD),那么

PS:要证明结合性,只需要证明,CC和DD对于x1 y1、x2 y2、x3 y3是轮换对称的。
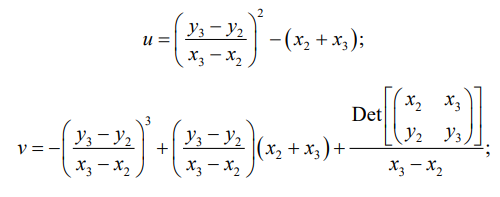
设Q+R的坐标是(u,v),那么

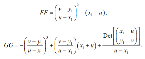
设Q+R+P的坐标是(FF,GG),那么

至此,我们已经得到了(CC,DD)和(FF,GG),他们是轮换式,即把x1 y1和x3 y3互换,
要证明结合性,只需要证明CC-FF=0,DD-GG=0

只需要证明最后一行这个式子为0即可,然而暴力展开的话大概有十几万项,吓人猪心!
除以 ![]()
利用matlab计算除的结果发现可以整除,而这个式子是恒为0的,PQ不是恒为0的,所以就证明出CC-FF=0,同理可得DD-GG=0
代码:
syms a b c d e f
A=f*(b-a)+e*(c-a)+d*(b-c);
B=f*(b-a)-e*(c-a)+d*(b-c);
P=(d-e)^2-(a-b)^2*(a+b+c);
Q=(f-e)^2-(b-c)^2*(a+b+c);
S=((a-b)*A*Q)^2-((c-b)*B*P)^2+2*P*Q*((e-d)*A*Q-(e-f)*B*P)+(P*Q)^2*2*(a-c);
T=(b-c)*d^2+(c-a)*e^2+(a-b)*f^2+(a-b)*(b-c)*(c-a)*(a+b+c);
[r,q] = polynomialReduce(S,T)
运行:
r = 0
q =
- 2*a^6*b^3 + 6*a^6*b^2*c - 6*a^6*b*c^2 + 2*a^6*c^3 - 6*a^5*b^3*c + 18*a^5*b^2*c^2 - 18*a^5*b*c^3 + 3*a^5*b*e^2 - 6*a^5*b*e*f + 3*a^5*b*f^2 + 6*a^5*c^4 - 3*a^5*c*e^2 + 6*a^5*c*e*f - 3*a^5*c*f^2 + 6*a^4*b^5 - 12*a^4*b^4*c - 6*a^4*b^3*c^2 + 30*a^4*b^2*c^3 - 2*a^4*b^2*e^2 + 8*a^4*b^2*e*f - 6*a^4*b^2*f^2 - 24*a^4*b*c^4 + 4*a^4*b*c*e^2 - 16*a^4*b*c*e*f + 12*a^4*b*c*f^2 + 6*a^4*c^5 - 2*a^4*c^2*e^2 + 8*a^4*c^2*e*f - 6*a^4*c^2*f^2 + 12*a^3*b^5*c - 24*a^3*b^4*c^2 - 2*a^3*b^3*c^3 + 3*a^3*b^3*d^2 - 8*a^3*b^3*d*e + 6*a^3*b^3*d*f - 3*a^3*b^3*e^2 + 2*a^3*b^3*e*f + 30*a^3*b^2*c^4 - 9*a^3*b^2*c*d^2 + 18*a^3*b^2*c*d*e - 12*a^3*b^2*c*d*f - 4*a^3*b^2*c*e^2 + 22*a^3*b^2*c*e*f - 15*a^3*b^2*c*f^2 - 18*a^3*b*c^5 + 9*a^3*b*c^2*d^2 - 12*a^3*b*c^2*d*e + 6*a^3*b*c^2*d*f + 5*a^3*b*c^2*e^2 - 26*a^3*b*c^2*e*f + 18*a^3*b*c^2*f^2 + 2*a^3*c^6 - 3*a^3*c^3*d^2 + 2*a^3*c^3*d*e + 2*a^3*c^3*e^2 + 2*a^3*c^3*e*f - 3*a^3*c^3*f^2 + 2*a^3*d*e^3 - 6*a^3*d*e^2*f + 6*a^3*d*e*f^2 - 2*a^3*d*f^3 - 3*a^3*e^4 + 8*a^3*e^3*f - 6*a^3*e^2*f^2 + a^3*f^4 - 6*a^2*b^7 + 6*a^2*b^6*c + 18*a^2*b^5*c^2 - 24*a^2*b^4*c^3 + 2*a^2*b^4*d*e - 6*a^2*b^4*d*f + 4*a^2*b^4*e^2 - 6*a^2*b^4*e*f + 6*a^2*b^4*f^2 - 6*a^2*b^3*c^4 + 6*a^2*b^3*c*d^2 - 14*a^2*b^3*c*d*e + 18*a^2*b^3*c*d*f - a^2*b^3*c*e^2 - 12*a^2*b^3*c*e*f + 3*a^2*b^3*c*f^2 + 18*a^2*b^2*c^5 - 18*a^2*b^2*c^2*d^2 + 30*a^2*b^2*c^2*d*e - 18*a^2*b^2*c^2*d*f - 6*a^2*b^2*c^2*e^2 + 30*a^2*b^2*c^2*e*f - 18*a^2*b^2*c^2*f^2 - 6*a^2*b*c^6 + 18*a^2*b*c^3*d^2 - 26*a^2*b*c^3*d*e + 6*a^2*b*c^3*d*f + 5*a^2*b*c^3*e^2 - 12*a^2*b*c^3*e*f + 9*a^2*b*c^3*f^2 - 3*a^2*b*d^2*e^2 + 6*a^2*b*d^2*e*f - 3*a^2*b*d^2*f^2 + 4*a^2*b*d*e^3 - 8*a^2*b*d*e^2*f + 4*a^2*b*d*e*f^2 + 2*a^2*b*e^4 - 4*a^2*b*e^3*f - a^2*b*e^2*f^2 + 6*a^2*b*e*f^3 - 3*a^2*b*f^4 - 6*a^2*c^4*d^2 + 8*a^2*c^4*d*e - 2*a^2*c^4*e^2 + 3*a^2*c*d^2*e^2 - 6*a^2*c*d^2*e*f + 3*a^2*c*d^2*f^2 - 4*a^2*c*d*e^3 + 8*a^2*c*d*e^2*f - 4*a^2*c*d*e*f^2 + a^2*c*e^4 - 2*a^2*c*e^3*f + a^2*c*e^2*f^2 - 6*a*b^7*c + 6*a*b^6*c^2 + 12*a*b^5*c^3 - 3*a*b^5*d^2 + 8*a*b^5*d*e - 6*a*b^5*d*f + 4*a*b^5*e*f - 3*a*b^5*f^2 - 12*a*b^4*c^4 + 6*a*b^4*c*d^2 - 8*a*b^4*c*d*e + 4*a*b^4*c*e^2 - 8*a*b^4*c*e*f + 6*a*b^4*c*f^2 - 6*a*b^3*c^5 + 3*a*b^3*c^2*d^2 - 12*a*b^3*c^2*d*e + 18*a*b^3*c^2*d*f - a*b^3*c^2*e^2 - 14*a*b^3*c^2*e*f + 6*a*b^3*c^2*f^2 + 6*a*b^2*c^6 - 15*a*b^2*c^3*d^2 + 22*a*b^2*c^3*d*e - 12*a*b^2*c^3*d*f - 4*a*b^2*c^3*e^2 + 18*a*b^2*c^3*e*f - 9*a*b^2*c^3*f^2 + a*b^2*d^2*e^2 - 4*a*b^2*d^2*e*f + 3*a*b^2*d^2*f^2 - 4*a*b^2*d*e^3 + 18*a*b^2*d*e^2*f - 20*a*b^2*d*e*f^2 + 6*a*b^2*d*f^3 - 8*a*b^2*e^3*f + 17*a*b^2*e^2*f^2 - 12*a*b^2*e*f^3 + 3*a*b^2*f^4 + 12*a*b*c^4*d^2 - 16*a*b*c^4*d*e + 4*a*b*c^4*e^2 - 2*a*b*c*d^2*e^2 + 8*a*b*c*d^2*e*f - 6*a*b*c*d^2*f^2 - 8*a*b*c*d*e^2*f + 8*a*b*c*d*e*f^2 + 2*a*b*c*e^4 - 2*a*b*c*e^2*f^2 - 3*a*c^5*d^2 + 6*a*c^5*d*e - 3*a*c^5*e^2 + a*c^2*d^2*e^2 - 4*a*c^2*d^2*e*f + 3*a*c^2*d^2*f^2 - 2*a*c^2*d*e^3 + 8*a*c^2*d*e^2*f - 6*a*c^2*d*e*f^2 + a*c^2*e^4 - 4*a*c^2*e^3*f + 3*a*c^2*e^2*f^2 + 2*b^9 - 6*b^7*c^2 - 2*b^6*d*e + 6*b^6*d*f - 2*b^6*e^2 - 2*b^6*e*f + 6*b^5*c^4 - 3*b^5*c*d^2 + 4*b^5*c*d*e - 6*b^5*c*d*f + 8*b^5*c*e*f - 3*b^5*c*f^2 + 6*b^4*c^2*d^2 - 6*b^4*c^2*d*e - 6*b^4*c^2*d*f + 4*b^4*c^2*e^2 + 2*b^4*c^2*e*f - 2*b^3*c^6 + 2*b^3*c^3*d*e + 6*b^3*c^3*d*f - 3*b^3*c^3*e^2 - 8*b^3*c^3*e*f + 3*b^3*c^3*f^2 - b^3*d^4 + 6*b^3*d^3*e - 4*b^3*d^3*f - 10*b^3*d^2*e^2 + 10*b^3*d^2*e*f + 8*b^3*d*e^3 - 16*b^3*d*e^2*f + 10*b^3*d*e*f^2 - 4*b^3*d*f^3 - 2*b^3*e^4 + 8*b^3*e^3*f - 10*b^3*e^2*f^2 + 6*b^3*e*f^3 - b^3*f^4 - 6*b^2*c^4*d^2 + 8*b^2*c^4*d*e - 2*b^2*c^4*e^2 + 3*b^2*c*d^4 - 12*b^2*c*d^3*e + 6*b^2*c*d^3*f + 17*b^2*c*d^2*e^2 - 20*b^2*c*d^2*e*f + 3*b^2*c*d^2*f^2 - 8*b^2*c*d*e^3 + 18*b^2*c*d*e^2*f - 4*b^2*c*d*e*f^2 - 4*b^2*c*e^3*f + b^2*c*e^2*f^2 + 3*b*c^5*d^2 - 6*b*c^5*d*e + 3*b*c^5*e^2 - 3*b*c^2*d^4 + 6*b*c^2*d^3*e - b*c^2*d^2*e^2 + 4*b*c^2*d^2*e*f - 3*b*c^2*d^2*f^2 - 4*b*c^2*d*e^3 - 8*b*c^2*d*e^2*f + 6*b*c^2*d*e*f^2 + 2*b*c^2*e^4 + 4*b*c^2*e^3*f - 3*b*c^2*e^2*f^2 + c^3*d^4 - 2*c^3*d^3*f - 6*c^3*d^2*e^2 + 6*c^3*d^2*e*f + 8*c^3*d*e^3 - 6*c^3*d*e^2*f - 3*c^3*e^4 + 2*c^3*e^3*f - 2*d^3*e^3 + 6*d^3*e^2*f - 6*d^3*e*f^2 + 2*d^3*f^3 + 6*d^2*e^4 - 18*d^2*e^3*f + 18*d^2*e^2*f^2 - 6*d^2*e*f^3 - 6*d*e^5 + 18*d*e^4*f - 18*d*e^3*f^2 + 6*d*e^2*f^3 + 2*e^6 - 6*e^5*f + 6*e^4*f^2 - 2*e^3*f^3
8,阿贝尔群
证明出结合性之后,椭圆曲线上的加法就是群了,由于与生俱来的交换性,使得它是一个阿贝尔群。
三,素数域上的椭圆曲线
1,有限域、素数域
素数域Fp:由p个元素(从0到p-1)和数论加减乘除构成的域
2,素数域上的椭圆曲线
椭圆曲线Ep(a,b), , x,y∈[0,p-1]
其中p为质数,非负整数a、b小于p且满足
素数域上的椭圆曲线,除了满足同余方程的所有点之外,同样需要额外加一个无穷远点,即单位元素O点
写个简单的程序,来感受一下椭圆曲线上的点的分布。
#include<iostream>
#include<windows.h>
#include<map>
using namespace std;
#define CIN(x) while (!(cin >> x)) { \
cin.clear(); \
cin.ignore(); \
}
#define CIN2(x, y) CIN(x)CIN(y)
#define CIN3(x, y, z) CIN(x)CIN(y)CIN(z)
const int M = 10000;
bool check(int p)
{
if(p<3 || p>M)return false;
if(p%2==0)return false;
for(int i=3;i*i<=p;i+=2)if(p%i==0)return false;
return true;
}
void play()
{
cout<<"y^2=x^3+ax+b(mod p),输入p,a,b\n";
int p,a,b;
CIN3(p,a,b);
if(!check(p))return;
a=(a%p+p)%p,b=(b%p+p)%p;
map<int,int>modSqrt;
for(int i=0;i<=p/2;i++)modSqrt[i*i%p]=i+1;
for(int i=0;i<p;i++){
int x=(i*i*i+a*i+b)%p;
if(modSqrt[x]==0)continue;
if(modSqrt[x]==1)cout<<i<<" "<<0<<" ";
else cout<<i<<" "<<modSqrt[x]-1<<" "<<i<<" "<<p-modSqrt[x]+1<<" " ;
}
}
int main() {
for(int i=0;i<10;i++){
play();
sleep(5);
}
return 0;
}
输入23 1 3,输出:
0 7 0 16 2 6 2 17 4 5 4 18 5 8 5 15 6 8 6 15 7 10 7 13 10 1 10 22 12 8 12 15 14 1 14 22 15 9 15 14 19 2 19 21 21 4 21 19 22 1 22 22
再加上O点,一共27个点。
改成可视化版本:
void play()
{
cout<<"y^2=x^3+ax+b(mod p),输入p,a,b\n";
int p,a,b;
CIN3(p,a,b);
if(!check(p))return;
a=(a%p+p)%p,b=(b%p+p)%p;
map<int,int>modSqrt;
for(int i=0;i<=p/2;i++)modSqrt[i*i%p]=i+1;
if(p>30)return;
int pla[30][30]={0};
for(int i=0;i<p;i++){
int x=(i*i*i+a*i+b)%p;
if(modSqrt[x]==0)continue;
pla[i][modSqrt[x]-1]=1,pla[i][p-modSqrt[x]+1]=1;
}
for(int j=p-1;j>=0;j--){
for(int i=0;i<p;i++){
if(pla[i][j])cout<<'*';
else cout<<'.';
}
cout<<endl;
}
}
把输出结果的截图修饰一下得到:

上面13个点和下面13个点是对称的,O点单独存在。
准确的说,对于这个p行p列的正方形来说,上面的p-1行是上下对称的。
换句话说,如果把上面的(p-1)/ 2 行循环挪到下面,就会得到以y=0这一行为对称轴的,一个上下对称的p行p列的正方形。
3,素数域上椭圆曲线的加法
(1)定义交点
和实数域上一样,P和Q连成的直线和曲线相交于R,P(x1,y1), Q(x2,y2), R(x3,y3)三个点都在直线y=kx+b上,
那么x1+x2+x3=k^2,其中k是斜率。
(2)定义逆元素
同样的,互为上下对称的2个点A和A'互为相反元素,A+A'=O
(3)定义加法
若P(x1,y1), Q(x2,y2), R(x3,y3)满足P+Q=R,
则,其中k是直线PQ的斜率,
(3.1)若,则
若x1=x2,则k就是无穷,R是无穷远点O
(3.2)若P=Q,则PQ是切线,
若y1=0,则k就是无穷,R是无穷远点O
(4)阿贝尔群
素数域上的加法,构成的也是阿贝尔群,而且是循环群。
(5)demo程序
#include<iostream>
#include<map>
using namespace std;
long long get_mi(long long n,int k,int p)
{
if (k == 0)return 1;
long long r = get_mi(n, k / 2,p) % p;
r = (r*r) % p;
if (k % 2)r = (r*n) % p;
return r;
}
long long reverse(int a,int p)
{
return get_mi(a,p-2,p);
}
#define CIN(x) while (!(cin >> x)) { \
cin.clear(); \
cin.ignore(); \
}
#define CIN2(x, y) CIN(x)CIN(y)
#define CIN3(x, y, z) CIN(x)CIN(y)CIN(z)
const int M = 10000;
bool check(int p)
{
if(p<3 || p>M)return false;
if(p%2==0)return false;
for(int i=3;i*i<=p;i+=2)if(p%i==0)return false;
return true;
}
bool isO(int x,int y)
{
return x==0 && y==0;
}
void setO(int &x,int &y)
{
x=0,y=0;
}
int p,a,b;
void play()
{
cout<<"y^2=x^3+ax+b(mod p),input p,a,b\n";
CIN3(p,a,b);
if(!check(p))return;
a=(a%p+p)%p,b=(b%p+p)%p;
map<int,int>modSqrt;
for(int i=0;i<=p/2;i++)modSqrt[i*i%p]=i+1;
for(int i=0;i<p;i++){
int x=(i*i*i+a*i+b)%p;
if(modSqrt[x]==0)continue;
if(modSqrt[x]==1)cout<<i<<" "<<0<<" ";
else cout<<i<<" "<<modSqrt[x]-1<<" "<<i<<" "<<p-modSqrt[x]+1<<" " ;
}
}
void add(int x1,int y1,int x2,int y2,int &x3,int &y3)
{
int k;
if(isO(x1,y1))x3=x2,y3=y2;
else if(isO(x2,y2))x3=x1,y3=y1;
else if(x1==x2&&y1==y2){
if(y1==0)setO(x3,y3);
else k=(x1*x1*3+a)%p*(p+1)/2*reverse(y1,p)%p,x3=((k*k-x1-x2)%p+p)%p,y3=((k*(x1-x3)-y1)%p+p)%p;
}else{
if(x1==x2)setO(x3,y3);
else k=(y2-y1)*reverse(x2-x1,p)%p,x3=((k*k-x1-x2)%p+p)%p,y3=((k*(x1-x3)-y1)%p+p)%p;
}
}
void play2(int n)
{
int x1,y1,x2,y2,x3,y3,k;
while(n--){
cout<<"\n input x1,y1,x2,y2\n";
CIN2(x1,y1);
CIN2(x2,y2);
add(x1,y1,x2,y2,x3,y3);
cout<<x3<<" "<<y3;
}
}
int main()
{
play();
play2(10);
return 0;
}
运行:

其中,无穷远点可以有很多表示方法,为了方便可以在有限域内选择不在曲线上的任意一点,比如当b不为0时,(0,0)就可以用来表示无穷远点。
4,素数域上点的个数——Hasse定理

corollary 2 是 theorem 1在k=1时的特例的一个推论
5,生成子群
加法构成的整个集合是有限群,而由单个元素的数乘构成的是它的子群。
根据拉格朗日定理 数学与泛型编程(2)群论_加群所有有限阶元素构成g的一个子群-优快云博客
子群的阶一定是群阶的约数。
还是以E(23,1,3)为例,我们看下每个元素的生成子群的阶:
#include<iostream>
#include<map>
#include<vector>
using namespace std;
long long get_mi(long long n,int k,int p)
{
if (k == 0)return 1;
long long r = get_mi(n, k / 2,p) % p;
r = (r*r) % p;
if (k % 2)r = (r*n) % p;
return r;
}
long long reverse(int a,int p)
{
return get_mi(a,p-2,p);
}
#define CIN(x) while (!(cin >> x)) { \
cin.clear(); \
cin.ignore(); \
}
#define CIN2(x, y) CIN(x)CIN(y)
#define CIN3(x, y, z) CIN(x)CIN(y)CIN(z)
const int M = 10000;
bool check(int p)
{
if(p<3 || p>M)return false;
if(p%2==0)return false;
for(int i=3;i*i<=p;i+=2)if(p%i==0)return false;
return true;
}
bool isO(int x,int y)
{
return x==0 && y==0;
}
void setO(int &x,int &y)
{
x=0,y=0;
}
int p,a,b;
vector<int>vx;
vector<int>vy;
void play()
{
cout<<"y^2=x^3+ax+b(mod p),input p,a,b\n";
CIN3(p,a,b);
if(!check(p))return;
a=(a%p+p)%p,b=(b%p+p)%p;
map<int,int>modSqrt;
for(int i=0;i<=p/2;i++)modSqrt[i*i%p]=i+1;
for(int i=0;i<p;i++){
int x=(i*i*i+a*i+b)%p;
if(modSqrt[x]==0)continue;
if(modSqrt[x]==1)vx.push_back(i),vy.push_back(0);
else vx.push_back(i),vx.push_back(i),vy.push_back(modSqrt[x]-1),vy.push_back(p-modSqrt[x]+1);
}
int x,y;
setO(x,y);
vx.push_back(x),vy.push_back(y);
}
void add(int x1,int y1,int x2,int y2,int &x3,int &y3)
{
int k;
if(isO(x1,y1))x3=x2,y3=y2;
else if(isO(x2,y2))x3=x1,y3=y1;
else if(x1==x2&&y1==y2){
if(y1==0)setO(x3,y3);
else k=(x1*x1*3+a)%p*(p+1)/2*reverse(y1,p)%p,x3=((k*k-x1-x2)%p+p)%p,y3=((k*(x1-x3)-y1)%p+p)%p;
}else{
if(x1==x2)setO(x3,y3);
else k=(y2-y1)*reverse(x2-x1,p)%p,x3=((k*k-x1-x2)%p+p)%p,y3=((k*(x1-x3)-y1)%p+p)%p;
}
}
void getJ()
{
int x1,y1,x2,y2;
for(int i=0;i<vx.size();i++) {
x1=x2=vx[i],y1=y2=vy[i];
int s=1;
while(!isO(x1,y1)){
s++;
add(x1,y1,x2,y2,x1,y1);
}
cout<<x2<<" "<<y2<<" "<<s<<" ";
}
}
int main()
{
play();
getJ();
return 0;
}
输入23 1 3 ,输出:
0 7 27 0 16 27 2 6 27 2 17 27 4 5 9 4 18 9 5 8 27 5 15 27 6 8 27
6 15 27 7 10 27 7 13 27 10 1 9 10 22 9 12 8 3 12 15 3 14 1 27
14 22 27 15 9 27 15 14 27 19 2 9 19 21 9 21 4 27 21 19 27 22 1 27
22 22 27 0 0 1
不难发现规律,所有元素的阶都是大群阶的约数,我们把大群阶的约数除以元素的阶叫做该元素的协因子co-factor
在加密的时候,一般选择协因子最小的元素。
对于E(23,1,3),对于每个约数,阶为这个约数的元素的数目是欧拉函数,即有φ(27)个元素的阶是27
对于其他曲线,不一定就是循环群。
PS:
四,ECC椭圆曲线加密
1,数学计算
因为有限域上的加法是阿贝尔群,所以数乘的计算可以采用埃及乘法 数学与泛型编程(1)埃及乘法、加法链_数学与泛型编程 pdf-优快云博客
所以,对于任意点P,任意正整数k,计算Q=kP是很容易的,而根据P和Q计算k是很难的,目前的最好算法是O(sqrt(p))的时间复杂度,BSGS算法离散对数求解、BSGS算法_离散对数问题_csuzhucong的博客-优快云博客
2,加密方案
P、Q作为公钥公开,k作为私钥保留
发送方把信息转化为曲线上的一个点A,并产生一个随机整数x,并计算出2个点:xP和xQ
再把B=xP和C=A+xQ这2个点发送给接收方。
接收方收到B和C之后,根据C-kB=A+xQ-kxP=A即可算出A
3,破解方案
(1)根据P和Q算出私钥k,对使用该公钥进行加密的信息一次性全部破解
(2)根据B=xP算出随机加密种子x,只能破解用x进行加密的信息,即只能破解单独一份信息。
现在一般p取二进制200位,sqrt(p)就是100位,即10^30
现在的超级计算机的算力大概10^17,破解需要30万年
4,constant-time设计
接收方完成计算C-kB的时间只和k有关,
准确的说,快速幂算法的时间只和k的位数有关,所以破解方可以根据算法运行时间缩小范围,从而破解k,即时间旁路攻击
为了避免时间旁路攻击,可以手动控制循环次数,即把k理解为固定长度的数,如X25519中无论k的实际长度多长,都视为256位。
五,Montgomery曲线、X25519
1,Montgomery曲线
(1)方程
曲线方程:By^2=x(x^2+Ax+1),其中B(A^2-4)不为0
Montgomery曲线有三种形态:

当A^2-4=0时,曲线会有孤点(1,0)或者(-1,0)
Montgomery曲线应该不存在尖点或者自交的形态。
(2)Weierstrass和Montgomery互转
虽然x(x^2+Ax+1)=0这个三次方程可以直接求解,不需要求根公式,
但是我们还是可以用求根公式的规约法,令x = u - A/3,把它化成关于u的没有二次项的三次多项式,
然后令By^2=v^2,这样就把Montgomery化成了Weierstrass,反之同理。
(3)加法
若P(x1,y1), Q(x2,y2), R(x3,y3)满足P+Q=R,
则,其中k是直线PQ的斜率,
(3.1)若,则
若x1=x2,则k就是无穷,R是无穷远点O
(3.2)若P=Q,则PQ是切线,
若y1=0,则k就是无穷,R是无穷远点O
2,有限域上的Montgomery曲线
(1)唯一固定点
(0,0)唯一能确定在曲线上的点,而这个点的阶显然是2
(2)阶
In any finite field, B(A+ 2), B(A−2), and A^2 −4 cannot all be nonsquares simultaneously
论文:https://eprint.iacr.org/2017/212.pdf
因为B(A+ 2)*B(A−2)=B^2*(A^2 −4)所以三者至少有1个是平方剩余
(2.1)如果B(A+2)是平方剩余,那么有限域上必有一点X的横坐标是1,而过X的切线恰好经过(0,0),所以X的阶就是4
(2.2)如果B(A-2)是平方剩余,那么有限域上必有一点X的横坐标是-1,而过X的切线恰好经过(0,0),所以X的阶就是4
(2.3)如果B(A+2)和B(A-2)都不是平方剩余,则A^2 −4是平方剩余,方程x^2+Ax+1就有2个不同的解,而且都不为0,即有3个不同的点都满足纵坐标为0
那么这3个点加上无穷远点可以构成一个子群,这个子群的阶是4
所以大群阶一定是4的倍数,即曲线上所有点的个数是4的倍数0
我的代码:
#include<iostream>
#include<map>
#include<vector>
using namespace std;
// 省略代码同上
#define XOO -12345678
bool isO(int x,int y)
{
return x==XOO && y==XOO;
}
void setO(int &x,int &y)
{
x=XOO,y=XOO;
}
int p,a,b;
vector<int>vx;
vector<int>vy;
void play()
{
cout<<"By^2=x^3+Ax^2+x(mod p),input p,A,B\n";
CIN3(p,a,b);
if(!check(p))return;
a=(a%p+p)%p,b=(b%p+p)%p;
map<int,int>modSqrt;
for(int i=0;i<=p/2;i++)modSqrt[i*i%p]=i+1;
for(int i=0;i<p;i++){
int x=(i*i*i+a*i*i+i)%p;
x=x*reverse(b,p)%p;
if(modSqrt[x]==0)continue;
if(modSqrt[x]==1)vx.push_back(i),vy.push_back(0);
else vx.push_back(i),vx.push_back(i),vy.push_back(modSqrt[x]-1),vy.push_back(p-modSqrt[x]+1);
}
int x,y;
setO(x,y);
vx.push_back(x),vy.push_back(y);
}
void add(int x1,int y1,int x2,int y2,int &x3,int &y3)
{
int k;
if(isO(x1,y1))x3=x2,y3=y2;
else if(isO(x2,y2))x3=x1,y3=y1;
else if(x1==x2&&y1==y2){
if(y1==0)setO(x3,y3);
else k=(x1*x1*3+x1*a*2+1)%p*(p+1)/2*reverse(y1,p)%p*reverse(b,p)%p,x3=((k*k*b-a-x1-x2)%p+p)%p,y3=((k*(x1-x3)-y1)%p+p)%p;
}else{
if(x1==x2)setO(x3,y3);
else k=(y2-y1)*reverse(x2-x1,p)%p,x3=((k*k*b-a-x1-x2)%p+p)%p,y3=((k*(x1-x3)-y1)%p+p)%p;
}
}
void getJ()
{
int x1,y1,x2,y2;
cout<<vx.size()<<endl;
for(int i=0;i<vx.size();i++) {
x1=x2=vx[i],y1=y2=vy[i];
int s=1;
while(!isO(x1,y1)){
s++;
add(x1,y1,x2,y2,x1,y1);
}
cout<<x2<<" "<<y2<<" "<<s<<" ";
}
}
void play2(int n)
{
int x1,y1,x2,y2,x3,y3;
while(n--){
cout<<"\n input x1,y1,x2,y2\n";
CIN2(x1,y1);
CIN2(x2,y2);
add(x1,y1,x2,y2,x3,y3);
cout<<x3<<" "<<y3;
}
}
int main()
{
play();
getJ();
play2(40);
return 0;
}
代码基本上和Weierstrass 方程的代码一样,只需要把参数改一改即可,另外无穷远点也要换个表示法。
运行:
By^2=x^3+Ax^2+x(mod p),input p,A,B
23 11 5
32
0 0 2 3 9 16 3 14 16 4 9 16 4 14 16 5 9 8 5 14 8 6 2 16 6 21 16
7 7 4 7 16 4 8 1 16 8 22 16 9 6 16 9 17 16 10 10 4 10 13 4
11 1 8 11 22 8 13 8 16 13 15 16 14 7 8 14 16 8 15 0 2 16 1 16
16 22 16 18 11 16 18 12 16 20 0 2 21 4 8 21 19 8 -12345678 -12345678 1
3,X25519(Curve25519)
(1)方程
X25519的方程:y^2=x^3+486662x^2+x,p=2^255-19
rfc7748:RFC 7748 - Elliptic Curves for Security
下面是宏观图和微观图

486662这个值应该是基于2^255-19算出来的,寻找的目标就是不能太大(算法要快)而且阶要有大因子
因为阶J一定是4的倍数,所以阶的因子最多可能是J/4,其次最多可能是J/8,而J的大小只能在极其有限的范围内波动(Hasse定理)
所以最理想的方案是J=4p,其中p是素数,p约等于2^253,或者J=8p,其中p是素数,p约等于2^252
486662对应的是后者这个方案。
(2)基点
基点取x=9,y=14781619447589544791020593568409986887264606134616475288964881837755586237401
阶是2^252+27742317777372353535851937790883648493(素数),协因子co-factor=8
可以用python命令行验证一下基点坐标值:

六,Edwards曲线、ED25519
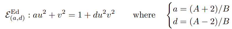
1,Edwards曲线
(1)方程
可以规约成 (如果a是平方剩余)
或 (如果-a是平方剩余)

(2)Montgomery和Edwards互转


可以规约成 (如果B(A+2)是平方剩余)
或(如果-B(A+2)是平方剩余)
2,ED25519
(1)方程
直接Montgomery中的把X25519转化成Edwards:
y^2=x^3+486662x^2+x,p=2^255-19 即A=486662,B=1
所以 a=486664, d=486660
即
能不能规约取决于486664是不是平方剩余
根据二次互反律 ,
可以得到
所以
而且根据欧拉准则,
所以, 既可以规约成
也可以规约成
这就是为什么网上总是能看到2个版本的ED25519
(2)基点
rfc7748中给出的是37095705934669439343138083508754565189542113879843219016388785533085940283555,和-121665/121666是同一个数
基点u=15112221349535400772501151409588531511454012693041857206046113283949847762202
v=46316835694926478169428394003475163141307993866256225615783033603165251855960
其实这个基点就是X25519的基点x=9
验证d的值:

验证基点坐标值:

验证两个基点相同,即v=(x-1)/(x+1)

PS:不能用u=x/y来验证,因为在规约的时候u的值发生了变化
七,小结
本文中出现的所有数据,有如下几条是标准给出的但是我没有验证的:
(1)p=2^255-19是素数
(2)基点的阶等于2^252+27742317777372353535851937790883648493
(3)基点的阶是素数
素数检测比较麻烦,阶是比较容易验证的,只需要验证基点的2^252+27742317777372353535851937790883648493倍是无穷远点,
再基于这个数是素数,加上拉格朗日定理,即可证明这个数就是基点的阶。
2199

被折叠的 条评论
为什么被折叠?



