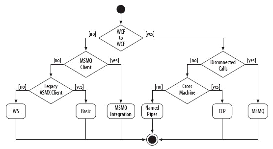
在第1章中,最有价值的内容应该是本章的图1-4,如下所示:

图中给WCF用户展示了如何根据不同的场景选择合适的绑定。书中描述如下:
“首先需要叩问自己服务是否需要与非WCF的客户端交互。如果是,同时客户端又是旧的MSMQ客户端,选择MsmqIntegrationBinding绑定就能够使得服务通过MSMQ与该客户端实现互操作。如果服务需要与非WCF客户端交互,并且该客户端期望调用基本的Web服务协议(ASMX Web服务),那么选择BasicHttpBinding绑定就能够模拟ASMX Web服务(即WSI-Basic Profile)公开WCF服务。缺点是我们无法使用大多数最新的WS-*协议的优势。但是,如果非WCF客户端能够识别这些标准,就应该选择其中一种WS绑定,例如WSHttpBinding、WSFederationBinding或者WSDualHttpBinding。如果假定客户端为WCF客户端,同时需要支持脱机或断开状态下的交互,则可以选择NetMsmqBinding使用MSMQ传输消息。如果客户端需要联机通信,但是需要跨机器边界调用,则应该选择NetTcpBinding通过TCP协议进行通信。如果相同机器上的客户端同时又是服务,选择NetNamePipeBinding使用命名管道可以使性能达到最优化。如果基于额外的标准,例如回调(选择WSDualHttpBinding)或者联邦安全(选择WSFederationBinding),则应对选择的绑定进行微调。”
“即使超出了使用的目标场景,大多数绑定工作仍然良好。例如,我们可以使用TCP绑定实现相同机器甚至进程内的通信;我们也可以使用基本绑定实现Intranet中WCF对WCF的通信。然而,我们还是应尽量按照图1-4选择绑定。”
第1章作为WCF基础的整体介绍,不可避免要介绍WCF的体系架构,书中的描述如下:
“WCF提供了对可靠性、事务性、并发管理、安全性以及实例激活等技术的有力支持,它们均依赖于基于拦截机制的WCF体系架构。通过代理与客户端的交互意味着WCF总是处于服务与客户端之间,拦截所有的调用,执行调用前和调用后的处理。当代理将调用栈帧(Stack Frame)序列化到消息中,并将消息通过通道链向下传递时,WCF就开始执行拦截。通道相当于一个拦截器,目的在于执行一个特定的任务。每个客户端通道都会执行消息的调用前处理。链的组成与结构主要依赖于绑定。例如,一个通道对消息编码(二进制格式、文本格式或者MTOM),另一个通道传递安全的调用上下文;还有一个通道传播客户端的事务,一个通道管理可靠会话,另一个通道对消息正文(Message Body)加密(如果进行了配置),诸如此类。客户端的最后一个通道是传输通道,根据配置的传输方式发送消息给宿主。”
“在宿主端,消息同样通过通道链进行传输,它会对消息执行宿主端的调用前处理。宿主端的第一个通道是传输通道,接收传输过来的消息。随后的通道执行不同的任务,例如消息正文的解密、消息的解码、参与传播事务、设置安全准则、管理会话、激活服务实例。宿主端的最后一个通道负责将消息传递给分发器(Dispatcher)。分发器将消息转换到一个栈帧,并调用服务实例。执行顺序如图1-11所示。”
书中的图1-11如下所示:

“服务并不知道它是否被本地客户端调用。事实上,服务会被本地客户端——分发器调用。客户端与服务端的拦截器确保了它们能够获得运行时环境,以便于它们执行正确的操作。服务实例会执行调用,然后将控制权(Control)返回给分发器。分发器负责将返回值以及错误信息(如果存在)转换为一条返回消息。分发器获得控制权,执行的过程则刚好相反:分发器通过宿主端通道传递消息,执行调用后的处理,例如管理事务、停用实例、回复消息的编码与加密等。为了执行客户端调用后的处理,包括解密、解码、提交或取消事务等任务,传输通道会将返回消息发送到客户端通道。最后一个通道将消息传递给代理。代理将返回消息转化到栈帧,然后将控制权返回给客户端。”
“特别值得注意的是,体系架构中的所有要点均与可扩展性息息相关。我们可以为专有交互定制通道,为实例管理定制行为,以及定制安全行为等。事实上,WCF提供的标准功能都能够通过相同的可扩展模式实现。”
通过WCF实现SOA的一个关键问题是,如何将与技术无关的服务转换为CLR。一旦提供了这种转换,WCF的服务设计者与开发者就可以根据自己拥有的CLR的知识,进行WCF面向服务开发。为两者搭建桥梁的是宿主。一个宿主可以包含多个上下文,而在上下文中则可以包含服务实例。特殊的,宿主的上下文也可以为空。如下图所示:

客户端若要调用服务,可以采用代理或通道的方式。这两种方式在很多资料上已经有了详尽的介绍。在这里,我不准备重复。如果需要详细了解甚至掌握着两种方式,当然可以购买Programming WCF Services一书一探究竟。这里我想介绍的是本书中频繁使用的一种简化WCF类库的一个示例,主要是引入泛型来简化以及各种步骤地自动化处理。例如ServiceHost<T>类,就是通过引入泛型简化了WCF提供的ServiceHost类:
public class ServiceHost<T> : ServiceHost
{
public ServiceHost( ) : base(typeof(T))
{}
public ServiceHost(params string[] baseAddresses) :
base(typeof(T),Convert(baseAddresses))
{}
public ServiceHost(params Uri[] baseAddresses) :
base(typeof(T),baseAddresses)
{}
static Uri[] Convert(string[] baseAddresses)
{
Converter<string,Uri> convert = delegate(string address)
{
return new Uri(address);
};
return Array.ConvertAll(baseAddresses,convert);
}
}
如果是使用ServiceHost类,则托管服务的代码如下所示:
public static void Main( )
{
Uri baseAddress = new Uri("http://localhost:8000/");
ServiceHost host = new ServiceHost(typeof(MyService),baseAddress);
host.Open( );
//Can do blocking calls:
Application.Run(new MyForm( ));
host.Close( );
}
使用ServiceHost类,则可修改为:
public static void Main( )
{
Uri baseAddress = new Uri("http://localhost:8000/");
ServiceHost<MyService> host = new ServiceHost<MyService>(baseAddress);
host.Open( );
//Can do blocking calls:
Application.Run(new MyForm( ));
host.Close( );
}
在ServiceHost<T>类的实现中,使用了.NET 2.0中才引入的一个方法Array.ConvertAll(),它的方法签名为:
public static TOutput[] ConvertAll<TInput,TOutput> (
TInput[] array,
Converter<TInput,TOutput> converter
)
它能够根据Converter对象将一种类型的数组转换为另一种类型的数组。
本书中,还使用了很多.NET的高级特性,特别是一些在.NET 2.0才引入的技术。所以作者在本书的前言中写到:“本书大量使用了.NET 2.0技术,从某种角度来说,本书也可以算是一本高级的C#技术书籍。”
本文介绍了WCF服务的不同绑定选项及其应用场景,包括MSMQ、TCP和HTTP等通信方式的选择,并深入探讨了WCF的体系架构,揭示了服务与客户端之间如何通过通道链进行交互。
763

被折叠的 条评论
为什么被折叠?



