Java实现邻接表存储图并实现深度优先算法和广度优先算法
1、结点类:
成员说明:
① edgeNodeList:与该结点相连的结点
②name:该结点名字
③isVisited:是否被访问过,默认是否
public class EdgeNode {
//该结点所连接的其他结点
private LinkedList<EdgeNode> edgeNodeList;
//结点名称
private String name;
//初始阶段结点未被访问
private boolean isVisited =false;
public EdgeNode(String name) {
this.name = name;
}
public LinkedList<EdgeNode> getEdgeNodeList() {
return edgeNodeList;
}
public void setEdgeNodeList(LinkedList<EdgeNode> edgeNodeList) {
this.edgeNodeList = edgeNodeList;
}
public String getName() {
return name;
}
public void setName(String name) {
this.name = name;
}
public boolean isVisited() {
return isVisited;
}
public void setVisited(boolean visited) {
isVisited = visited;
}
}
2、具体算法类
方法说明:
①public void insertNode(String n1,String n2):向图插入结点,两个参数即两个结点名字代表这两个结点相连通
②public void getNodeMap():获取创建完图后的邻接表
③public void dfs(String firstEdgeNodeName):深度优先遍历,参数为开始遍历的第一个结点
④public void bfs(String firstEdgeNodeName):广度优先遍历,参数为开始遍历的第一个结点
public class Solution {
private HashMap<String,EdgeNode> nodeMap=new HashMap();
//创建邻接表
public void insertNode(String n1,String n2){
EdgeNode edgeNode1 = nodeMap.get(n1);
EdgeNode edgeNode2 = nodeMap.get(n2);
if (edgeNode1==null) {
edgeNode1 = new EdgeNode(n1);
nodeMap.put(n1,edgeNode1);
}
if (edgeNode2==null){
edgeNode2 = new EdgeNode(n2);
nodeMap.put(n2,edgeNode2);
}
LinkedList linkedList1=edgeNode1.getEdgeNodeList();
LinkedList linkedList2=edgeNode2.getEdgeNodeList();
if(linkedList1==null) {
linkedList1 = new LinkedList();
}
if (linkedList2==null){
linkedList2=new LinkedList();
}
linkedList1.addLast(edgeNode2);
linkedList2.addLast(edgeNode1);
edgeNode1.setEdgeNodeList(linkedList1);
edgeNode2.setEdgeNodeList(linkedList2);
}
//获取邻接表并打印
public void getNodeMap(){
for (Map.Entry<String,EdgeNode> entry:nodeMap.entrySet()){
System.out.print(entry.getKey());
Iterator<EdgeNode> iterator=entry.getValue().getEdgeNodeList().iterator();
while (iterator.hasNext()){
System.out.print("->"+iterator.next().getName());
}
System.out.println();
}
}
//深度遍历图
public void dfs(String firstEdgeNodeName){
EdgeNode currentNode = nodeMap.get(firstEdgeNodeName);
if (!currentNode.isVisited()) {
//对结点进行相关操作
System.out.print(currentNode.getName()+"->");
//设置结点为已访问
currentNode.setVisited(true);
Iterator<EdgeNode> iterator = currentNode.getEdgeNodeList().iterator();
while (iterator.hasNext()) {
dfs(iterator.next().getName());
}
}
else {
return;
}
}
//广度遍历图
public void bfs(String firstEdgeNodeName){
LinkedList<EdgeNode> queue=new LinkedList<>();
queue.add(nodeMap.get(firstEdgeNodeName));
while (!queue.isEmpty()){
EdgeNode currentNode=queue.removeFirst();
if (currentNode.isVisited()){
continue;
}
System.out.print(currentNode.getName()+"->");
currentNode.setVisited(true);
for (EdgeNode sonNode: currentNode.getEdgeNodeList()){
if (!sonNode.isVisited()){
queue.add(sonNode);
}
}
}
}
//初始化访问结点,即设置所以结点都为未访问
public void setVisit(){
for (Map.Entry<String,EdgeNode> entry:nodeMap.entrySet()){
entry.getValue().setVisited(false);
}
}
}
`` `
**3、测试类**
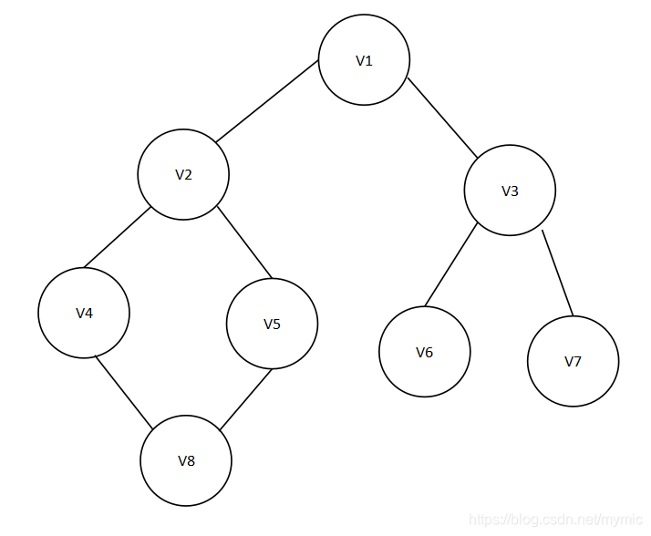
这里要输入的图为

```java
public class Test {
public static void main(String[] args) {
//按上图插入结点
Solution t=new Solution();
t.insertNode("V1","V2");
t.insertNode("V1","V3");
t.insertNode("V6","V3");
t.insertNode("V7","V3");
t.insertNode("V6","V7");
t.insertNode("V2","V5");
t.insertNode("V2","V4");
t.insertNode("V8","V4");
t.insertNode("V8","V5");
//获取邻接表
t.getNodeMap();
System.out.println();
System.out.println("-------");
//输入第一个访问的结点名字
System.out.print("深度优先遍历:");
t.dfs("V1");
//重新设置未访问
t.setVisit();
System.out.println();
System.out.println("-------");
System.out.print("广度优先遍历:");
t.bfs("V1");
}
}
结果
邻接表如下:
V6->V3->V7
V7->V3->V6
V8->V4->V5
V1->V2->V3
V2->V1->V5->V4
V3->V1->V6->V7
V4->V2->V8
V5->V2->V8
-------
深度优先遍历:V1->V2->V5->V8->V4->V3->V6->V7->
-------
广度优先遍历:V1->V2->V3->V5->V4->V6->V7->V8->
本文详细介绍了如何使用Java实现图的邻接表存储,并提供了深度优先搜索(DFS)和广度优先搜索(BFS)算法的实现。通过创建结点类EdgeNode,存储节点之间的连接,然后在Solution类中插入结点,获取邻接表,以及执行DFS和BFS遍历。测试类展示了如何构建一个图并进行遍历,输出了遍历结果。
7507

被折叠的 条评论
为什么被折叠?



