第五课上《积分-不定积分》
1/6 直接套公式算不定积分
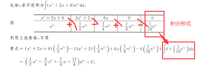
⑧∫tanxdx=∫sinxcosxdx=∫1cosxd(−cosx)=−ln∣cosx∣+C⑨∫cotxdx=∫1tanxdx=∫cosxsinxdx=∫1sinxd(sinx)=ln∣sinx∣+C(tanx)‘=sec2x,tan2x+1=sec2x[十七]∫dxa2+x2=∫dxa2(1+(x/a))2=∫d(x/a)a(1+(x/a))2=1aarctan(xa)+C[十六]∫dxa2−x2=∫dxa1−(x/a)2=∫d(x/a)1−(x/a)2=arcsin(x/a)+C[二十]令x=atanx和x=asecx【具体参考张宇基础30讲P110】 ⑧ \int tanx dx=\int \frac{sinx}{cosx} dx =\int \frac{1}{cosx} d(-cosx)=-ln|cosx|+C \\ ⑨ \int cotx dx=\int \frac{1}{tanx} dx =\int \frac{cosx}{sinx} dx=\int \frac{1}{sinx} d(sinx)=ln|sinx|+C \\ (tanx)^`=sec^2x,tan^2x+1=sec^2x \\ [十七] \int \frac{dx}{a^2+x^2}=\int \frac{dx}{a^2(1+(x/a))^2}=\int \frac{d(x/a)}{a(1+(x/a))^2}=\frac{1}{a}arctan(\frac{x}{a})+C \\ [十六] \int \frac{dx}{\sqrt{a^2-x^2}}=\int \frac{dx}{a\sqrt{1-(x/a)^2}}=\int \frac{d(x/a)}{\sqrt{1-(x/a)^2}}=arcsin(x/a)+C \\ [二十] 令x=atanx和x=asecx\\ 【具体参考张宇基础30讲P110】 ⑧∫tanxdx=∫cosxsinxdx=∫cosx1d(−cosx)=−ln∣cosx∣+C⑨∫cotxdx=∫tanx1dx=∫sinx


最低0.47元/天 解锁文章
5328

被折叠的 条评论
为什么被折叠?



