软考-中级软件设计师-2017年下半年真题
-
1.以下关于防火墙功能特性的叙述中,不正确的是()
-
A.控制进出网络的数据包和数据流向
-
B.提供流量信息的日志和审计
-
C.隐藏内部 IP以及网络结构细节
-
D.提供漏洞扫描功能
答案:D
2.在程序执行过程中, Cache与主存的地址映射是由( )完成的。
-
A. 操作系统
-
B. 程序员调度
-
C. 硬件自动
-
D. 用户软件
答案:C
3.某四级指令流水线分别完成取指、取数、运算、保存结果四步操作。若完成上述操作的时间依次为 8ns、 9ns、 4ns、 8ns,则该流水线的操作周期应至少为( ) ns 。
-
A. 4
-
B. 8
-
C. 9
-
D. 33
答案: C
4.内存按字节编址。若用存储容量为 32Kx8bit 的存储器芯片构成地址从 AOOOOH到 DFFFFH的内存,则至少需要( )片芯片。
-
A. 4
-
B. 8
-
C. 16
-
D. 32
答案: B
-
5.计算机系统的主存主要是由( )构成的。
-
A. DRAM
-
B. SRAM
-
C. Cache
-
D. EEPROM
答案: A。
解析:
-
DRAM: 动态随机存取存储器 ;
SRAM: 静态随机存取存储器 ;
Cache:高速缓存 ;
EEPROM:电可擦可编程只读存储器
6.以下关于海明码的叙述中,正确的是( )。
-
A. 海明码利用奇偶性进行检错和纠错
-
B. 海明码的码距为 1
-
C. 海明码可以检错但不能纠错
-
D. 海明码中数据位的长度与校验位的长度必须相同
答案: A
7.计算机运行过程中, CPU 需要与外设进行数据交换。采用( )控制技术时, CPU与外设可并行工作。
-
A. 程序查询方式和中断方式
-
B. 中断方式和 DMA 方式
-
C. 程序查询方式和 DMA 方式
-
D. 程序查询方式、中断方式和 DMA 方式
答案: B
解析:
-
程序查询方式是通过 CPU执行程序来查询状态的。
8.与 HTTP相比, HTTPS协议对传输的内容进行加密, 更加安全。 HTTPS基于(8)安全协议,其默认端口是( 9)。
-
A. RSA
-
B. DES
-
C. SSL
-
D. SSH
答案: C
9.与 HTTP相比, HTTPS协议对传输的内容进行加密, 更加安全。 HTTPS基于(8)安全协议,其默认端口是( 9)。
-
A. 1023
-
B. 443
-
C. 80
-
D. 8080
答案: B
10.下列攻击行为中,属于典型被动攻击的是( )。
-
A. 拒绝服务攻击
-
B. 会话拦截
-
C. 系统干涉
-
D. 修改数据命令
答案: C
11、( )不属于入侵检测技术。
-
A. 专家系统
-
B. 模型检测
-
C. 简单匹配
-
D. 漏洞扫描
答案: D
解析:
-
漏洞扫描为另一种安全防护策略。
12、 某软件公司项目组的程序员在程序编写完成后均按公司规定撰写文档,并上交公司存档。此情形下,该软件文档著作权应由( )享有。
-
A. 程序员
-
B. 公司与项目组共同
-
C. 公司
-
D. 项目组全体人员
答案: C
解析:
-
属于职务作品。
13、 我国商标法规定了申请注册的商标不得使用的文字和图形, 其中包括县级以上行政区的地名 (文字 )。以下商标注册申请,经审查,能获准注册的商标是( )。
-
A. 青岛 (市)
-
B. 黄山 (市)
-
C. 海口 (市)
-
D. 长沙 (市)
答案: A
14、李某购买了一张有注册商标的应用软件光盘,则李某享有( )。
-
A. 注册商标专用权
-
B. 该光盘的所有权
-
C. 该软件的著作权
-
D. 该软件的所有权
答案: B
15、 某医院预约系统的部分需求为: 患者可以查看医院发布的专家特长介绍及其就诊时间:系统记录患者信息,患者预约特定时间就诊。用 DFD对其进行功能建模时,患者是( 15);用 ERD对其进行数据建模时,患者是( 16)。
-
15题:
A. 外部实体
B. 加工
C. 数据流
D. 数据存储答案: A
-
16题:
A. 实体
B. 属性
C. 联系
D. 弱实体答案: A
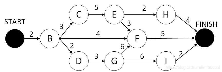
17、某软件项目的活动图如下图所示,其中顶点表示项目里程碑,链接顶点的边表示包含的活动,变色数字表示活动的持续时间(天)。完成该项目的最少时间为( 17)天。由于某种原因,现在需要同一个开发人员完成 BC和 BD,则完成该项目的最少时间为( 18)天。
-
图:

-
17题:
A. 11
B. 18
C. 20
D. 21答案: B
解析:
-
关键路径为 A-B-C-E-F-J和 A-B-D-G-F-J 18天
-
18题:
A. 11
B. 18
C. 20
D. 21答案: D
解析:
-
BC持续时间 3 天, BD持续时间 2 天,由一天完成,则可以把 BC持续时间作为 5 天, BD持续时间也为 5 天, 则关键路径为 A-B-D-G-F-J , 21天。
19、某企业财务系统的需求中,属于功能需求的是( )。
-
A. 每个月特定的时间发放员工工资
-
B. 系统的响应时间不超过 3 秒
-
C. 系统的计算精度符合财务规则的要求
-
D. 系统可以允许 100 个用户同事查询自己的工资
答案: A
20、更适合用来开发操作系统的编程语言是( )。
-
A. C/C++
-
B. Java
-
C. Python
-
D. JavaScript
答案: A
21、以下关于程序设计语言的叙述中,不正确的是( )。
-
A. 脚本语言中不使用变量和函数
-
B. 标记语言常用于描述格式化和链接
-
C. 脚本语言采用解释方式实现
-
D. 编译型语言的执行效率更高
答案: A
22、 将高级语言源程序通过编译或解释方式进行翻译时, 可以先生成与源程序等价的某种中间代码。 以下关手中间代码的叙途中, 正确的是( )。
-
A. 中间代码常采用符号表来表示
-
B. 后缀式和三地址码是常用的中间代码
-
C. 对中间代码进行优化要依据运行程序的机器特性
-
D. 中间代码不能跨平台
答案: A
23、 计算机系统的层次结构如下圈所示, 基于硬件之上的软件可分为a、 b 和 c 三个层次。图中 a、 b 和 c 分别表示( )。

-
: A. 操作系统、系统软件和应用软件
-
B. 操作系统、应用软件和系统软件
-
C. 应用软件、系统软件和操作系统
-
D. 应用软件、操作系统和系统软件
答案: C
解析:
-
系统软件开发人员开发操作系统和系统软件。应用软件开发人员开发应用软件。
24、 下图所示的 PCB(进程控制块) 的组织方式是 (24) , 图中(25) 。

-
: A. 链接方式
-
B. 索引方式
-
C. 顺序方式
-
D. Hash
答案: B
25、
-
A. 有 1 个运行进程、 2 个就绪进程、 4 个阻塞进程
-
B. 有 1 个运行进程、 2 个就绪进程、 4 个阻塞进程
-
C. 有 1 个运行进程、 3 个就绪进程、 3 个阻塞进程
-
D. 有 1 个运行进程、 4 个就绪进程、 2 个阻塞进程
答案: C
26、某文件系统采用多级索引结构。若磁盘块的大小为 1K 字节,每个块号占 3 字节,那么采用二级索引时的文件最大长度为( )字节。
-
A. 1024
-
B. 2048
-
C. 116281
-
D. 232562
答案: C
27、某操作系统采用分页存储管理方式,下图给出了进程 A 和进程 B的页表结构。如果物理页的大小为 1K字节,那么进程 A 中逻辑地址为 1024 (十进制 )用变量存放在( 27)号物理内存页中。假设进程 A的逻辑页 4 与进程 B 的逻辑页 5 要共享物理页 4,那么应该在进程 A页表的逻辑页 4 和进程 B 页表的逻辑页 5 对应的物理页处分别填(28)。

-
: A. 8
-
B. 3
-
C. 5
-
D. 2
答案: B
28、
-
A. 4、 4
-
B. 4、 5
-
C. 5、 4
-
D. 5、 5
答案: A
29、 用自盒测试方法对如下图所示的流程图进行测试。 若要满足分支覆盖,则至少要(29)个测试用例,正确的测试用例对是( 30)(测试用例的格式为( A,B,X;X))。

-
: A. 1
-
B. 2
-
C. 3
-
D. 4
答案: B
30、
-
A. (1,3,3;3)和(5,2,15;3)
-
B. (1,1,5;5)和(5,2,20;9)
-
C. (2,3,10;5)和(5,2,18;3)
-
D. (5,2,16;3)和(5,2,21;9)
答案: D
31、配置管理贯穿软件开发的整个过程。以下内容中,不属于配置管理的是( )。
-
A. 版本控制
-
B. 风险管理
-
C. 变更管理
-
D. 配置状态报告
答案: B
32、极限编程(XP)的十二个最佳实践不包括( )。
-
A. 小的发布
-
B. 结对编程
-
C. 持续集成
-
D. 精心设计
答案: D
33、 以下关于管道过滤器体系结构的有点的叙述中, 不争取的是()。
-
A. 软件构件具有良好的高内聚、低藕合的特点
-
B. 支持重用
-
C. 支持并行执行
-
D. 提高性能
答案: C
解析:
-
管道过滤器不支持批处理和并发操作。
34、模块 A 将学生信息,即学生姓名、学号、手机号等放到一个结构体中,传递给模块 B。模块 A 和 B 之间的藕合类型为( )藕合。
-
A. 数据
-
B. 标记
-
C. 控制
-
D. 内容
答案: A
-
35、某模块内涉及多个功能, 这些功能必须以特定的次序执行,则该模块的内聚类型为( )内聚。
-
A. 实践
-
B. 过程
-
C. 信息
-
D. 功能
答案: B
36、 系统交付用户使用后, 为了改进系统的图形输出而对系统进行修改的维护行为属于( )维护。
-
A. 改正性
-
B. 适应性
-
C. 改善性
-
D. 预防性
答案: C
37、在面向对象方法中,将逻辑上相关的数据以及行为绑定在一起,使信息对使用者隐蔽称为 (37)。当类中的属性或方法被设计为 private时,(38)可以对其进行访问。
-
A. 抽象
-
B. 继承
-
C. 封装
-
D. 多态
答案: C
解析:
-
封装是指利用抽象数据类型将数据和基于数据的操作封装在一起,使其构成一个不可分割的独立实体, 数据被保护在抽象数据类型的内部, 尽可能地隐藏内部的细节, 只保留一些对外接口使之与外部发生
联系。只有此类中定义的方法可以对私有成员进行访问。
38、在面向对象方法中,将逻辑上相关的数据以及行为绑定在一起,使信息对使用者隐蔽称为 (37)。当类中的属性或方法被设计为 private时,(38)可以对其进行访问。
-
A. 应用程序中所有方法
-
B. 只有此类中定义的方法
-
C. 只有此类中定义的 public 方法
-
D. 同一个包中的类中定义的方法
答案: B
解析:
-
封装是指利用抽象数据类型将数据和基于数据的操作封装在一起,使其构成一个不可分割的独立实体, 数据被保护在抽象数据类型的内部, 尽可能地隐藏内部的细节, 只保留一些对外接口使之与外部发生
联系。只有此类中定义的方法可以对私有成员进行访问。
39、采用继承机制创建子类时,子类中( )。
-
A. 只能有父类中的属性
-
B. 只能有父类中的行为
-
C. 只能新增行为
-
D. 可以有新的属性和行为
答案: D
解析:
-
子类相对于父类,要更加特殊。所以会有新的成员来描述其特殊。
40、面向对象分析过程中,从给定需求描述中选择( )来识别对象。
-
A. 动词短语
-
B. 名词短语
-
C. 形容词
-
D. 副词
答案: B
解析:
-
名词短语暗示类及其属性动词和动词短语暗示对职责或操作。
41、如图所示的 UML 类图中, Shop和 Magazine之间为(41)关系,Magazine和 Page之间为(42)关系。 UML 类图统称不用于对( 43)进行建模。
-
A. 关联
-
B. 依赖
-
C. 组合
-
D. 继承
答案: A
42、
-
A. 关联
-
B. 依赖
-
C. 组合
-
D. 继承
答案: C
43、
-
A. 系统的词汇
-
B. 简单的协作
-
C. 逻辑数据库模式
-
D. 对象快照
答案: D
44、 自动售货机根据库存、 存放货币量、 找零能力、 所选项目等不同,在货币存入并进行选择时具有如下行为:交付产品不找零 :交付产品找零: 存入货币不足而不提供任何产品; 库存不足而不提供任何产品。 这一业务需求适合采用 (44) 模式设计实现, 其类图如下图所示,其中(45)是客户程序使用的主要接口,可用状态来对其进行配置。此模式为(46),体现的最主要的意图是( 47)。
-
A. 观察者(Obeserver)
-
B. 状态(State)
-
C. 策略(Stratehy)
-
D. 访问者(Visitor)
答案: B
解析:
-
有 State 关键词 状态模式: 允许一个对象在其内部状态改变时改变它的行为。对象看起来似乎修改了它的类。在很多情况下,一个对象的行为取决于一个或多个动态变化的属性, 这样的属性叫做状态, 这
样的对象叫做有状态的 (stateful)对象,这样的对象状态是从事先定义好的一系列值中取出的。当一个这样的对象与外部事件产生互动时,其内部状态就会改变,从而使得系统的行为也随之发生变化。是整个状态模式的基类也是对外的接口。
45、
-
A. VendingMachineState
-
B. Buy
-
C. VendingDepositState
-
D. VendingStockState
答案: A
46、
-
A. 创建型对象模式
-
B. 结构型对象模式
-
C. 行为型类模式
-
D. 行为型对象模式
答案: D
47、
-
A. 当一个对象状态改变时所有依赖它的对象得到通知并自动更新
-
B. 在不破坏封装性的前提下,捕获对象的内部状态并在对象之外保存
-
C. 一个对象在其内部状态改变时改变其行为
-
D. 将请求封装为对象从而可以使用不同的请求对客户进行参数化
答案: C
48、编译过程中进行的语法分析主要是分析( )。
-
A. 源程序中的标识符是否合法
-
B. 程序语句的含义是否合法
-
C. 程序语句的结构是否合法
-
D. 表达式的类型是否合法
答案: D
49、某确定的有限自动机( DFA)的状态转换图如下图所示( 0 是初态, 4 是终态),则该 DFA能识别( )。
-
A. aaab
-
B. abab
-
C. bbba
-
D. abba
答案: A
本文提供了2017年下半年中级软件设计师考试的部分真题及答案,涉及计算机系统的层次结构、进程控制块组织方式、分页存储管理和自盒测试等知识点,旨在帮助考生复习和理解相关概念。
6479





