输入图片大小 W×W
Filter大小 F×F
步长strides S
padding的像素数 P
输出大小为NxN

长宽不等时,卷积之后的计算公式也是如此,只需分别计算即可。
在实际操作时,我们还会碰到 padding的两种方式 “SAME” 和 “VALID”,padding = “SAME”时,会在图像的周围填 “0”,padding = “VALID”则不需要,即 P=0。一般会选“SAME”,以来减缓图像变小的速度,二来防止边界信息丢失(即有些图像边界的信息发挥作用较少)。
注意!!!
此时可能会发现,按照这两种方式,按照上面的公式怎么不对呀
其实公式是没有问题的,
padding = “VALID”: P=0
padding = “SAME”: kernel_size=1时,P=0;kernel_size=3时,P=1;kernel_size=5时,P=3,以此类推。
问题可能也就出在上面
tensorflow官网给出了另一种计算方式,也是正确的
(用这个更方便):
(用这个更方便):
(用这个更方便):
padding = “SAME”时:

( 解释:输入w / 步长s 之后向上取整)
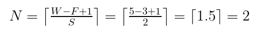
padding = “VALID”时:

(也是向上取整)
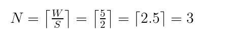
举例说明
当
输入是55,
卷积核是33,
步长S = 2
padding= “SAME”时:
根据公式:

根据公式:

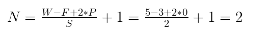
padding= “VALID”时:
根据公式:

根据公式:

之前在网上找的课
里面介绍的padding的计算方法跟这里的不一样
然后我就手动计算
发现是这里的正确
不知道网课为什么会教的不对,难道是时间版本不一样。
我这里的是gpu1.x版本



本文详细解析了卷积神经网络中,不同padding方式下输出尺寸的计算方法,包括'VALID'和'SAME'两种模式,并通过实例展示了具体计算过程。
780

被折叠的 条评论
为什么被折叠?



