Given a linked list, determine if it has a cycle in it.
To represent a cycle in the given linked list, we use an integer pos which represents the position (0-indexed) in the linked list where tail connects to. If pos is -1, then there is no cycle in the linked list.
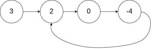
Example 1:
Input: head = [3,2,0,-4], pos = 1
Output: true
Explanation: There is a cycle in the linked list, where tail connects to the second node.

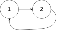
Example 2:
Input: head = [1,2], pos = 0
Output: true
Explanation: There is a cycle in the linked list, where tail connects to the first node.

Example 3:
Input: head = [1], pos = -1
Output: false
Explanation: There is no cycle in the linked list.

Follow up:
Can you solve it using O(1) (i.e. constant) memory?
划重点 o(1)很自然想到用哈希表来解决
public static boolean hasCycle(ListNode head) {
Set<ListNode> set = new HashSet<>();
while (head != null) {
if (set.contains(head)) { //set中已经有,说明有环
return true;
} else {
set.add(head);
}
head = head.next;
}
return false;
}
链表循环检测

795

被折叠的 条评论
为什么被折叠?



