1,线性函数是一条笔直的直线
2, 阶跃函数和激活函数都是非线性函数
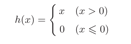
阶跃函数: y =f(x)
输入x大于 0 , 输出y=1
输入x小于0, 输出y=0
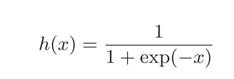
激活函数sigmoid:
h(x) 输出(0-1)之间 ,exp(−x)表示e −x 的意思。e是纳皮尔常数2.7182
3, 激活函数 sigmoid 输出值 在(0-1)之间, 阶跃函数 输出不是0 就是1 ,
4, ReLU 是一种神经网络中用的比较多的 激活函数,它的输出值(0--无穷大),他的逻辑很简单 :





166

被折叠的 条评论
为什么被折叠?