文章目录
1.特征工程是什么
顾名思义,其本质是一项工程活动,目的是最大限度地从原始数据中提取特征以供算法和模型使用。特征处理是特征工程的核心部分,sklearn库提供了较为完整的特征处理方法,包括数据预处理,特征选择,降维等。
2.数据预处理
通过特征提取,我们能得到未经处理的特征,这时的特征可能有以下问题:
- 不属于同一量纲:即特征的规格不一样,不能够放在一起比较。无量纲化可以解决这一问题。
- 信息冗余:对于某些定量特征,其包含的有效信息为区间划分,例如学习成绩,假若只关心“及格”或不“及格”,那么需要将定量的考分,转换成“1”和“0”表示及格和未及格。二值化可以解决这一问题。
- 定性特征不能直接使用:某些机器学习算法和模型只能接受定量特征的输入,那么需要将定性特征转换为定量特征。最简单的方式是为每一种定性值指定一个定量值,但是这种方式过于灵活,增加了调参的工作。通常使用独热编码(One-Hot Encoding)的方式将定性特征转换为定量特征:假设有N种定性值,则将这一个特征扩展为N种特征,当原始特征值为第i种定性值时,第i个扩展特征赋值为1,其他扩展特征赋值为0。独热编码的方式相比直接指定的方式,不用增加调参的工作,对于线性模型来说,使用独热编码后的特征可达到非线性的效果。
- 存在缺失值:缺失值需要补充。
- 信息利用率低:不同的机器学习算法和模型对数据中信息的利用是不同的,之前提到在线性模型中,使用对定性特征独热编码可以达到非线性的效果。类似地,对定量变量多项式化,或者进行其他的转换,都能达到非线性的效果。
我们使用sklearn中的preproccessing库来进行数据预处理,可以覆盖以上问题的解决方案
2.1 无量纲化
无量纲化使不同规格的数据转换到同一规格。常见的无量纲化方法有标准化和区间缩放法。标准化的前提是特征值服从正态分布,标准化后,其转换成标准正态分布。区间缩放法利用了边界值信息,将特征的取值区间缩放到某个特点的范围。
2.1.1 标准化
标准化需要计算特征的均值和标准差,公式表达为:
使用preproccessing库的StandardScaler类对数据进行标准化的代码如下:
from sklearn.preprocessing import StandardScaler
#将数据data标准化,返回值为标准化后的数据
StandardScaler().fit_transform(data)
2.1.2 区间缩放法
区间缩放法的思路有多种,常见的一种为利用两个最值进行缩放,公式表达为:
使用preproccessing库的MinMaxScaler类对数据进行区间缩放的代码如下:
from sklearn.preprocessing import MinMaxScaler
#区间缩放,返回值为缩放到[0, 1]区间的数据
MinMaxScaler().fit_transform(data)
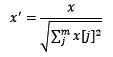
2.1.3 归一化
标准化是依照特征矩阵的列处理数据,将样本的特征值转换到同一量纲下。归一化是依照特征矩阵的行处理数据,其目的在于样本向量在点乘运算或其他核函数计算相似性时,拥有统一的标准,也就是说都转化为“单位向量”。规则为l2的归一化公式如下:
使用preproccessing库的Normalizer类对数据进行归一化的代码如下:
from sklearn.preprocessing import Normalizer
#归一化,返回值为归一化后的数据
Normalizer().fit_transform(data)
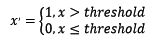
2.2 特征二值化
定量特征二值化的核心在于设定一个阈值,大于阈值的赋值为1,小于等于阈值的赋值为0,公式表达如下:
使用preproccessing库的Binarizer类对数据进行二值化的代码如下:
from

特征工程是机器学习的重要步骤,涉及数据预处理、特征选择和降维。预处理包括无量纲化(如标准化、区间缩放、归一化)、特征二值化和独热编码,用于解决数据规格不一、冗余和定性特征问题。特征选择通过Filter(如方差选择、相关系数法)、Wrapper(如递归特征消除)和Embedded(如基于树模型)方法,选取有意义的特征。降维技术如PCA和LDA则用于减少计算复杂度,提高模型效率。
最低0.47元/天 解锁文章
838

被折叠的 条评论
为什么被折叠?



