一、项目基本介绍及成果展示
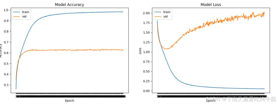
本项目是使用 tensorflow 框架的基于卷积神经网络CNN的情绪识别系统开发,最终精度可达到 98%。本次项目选择使用 tensorflow 框架自行搭建卷积神经活络,同时推理时可打开设备视频流,通过电脑摄像头实时捕捉摄像头画面并识别画面中人脸的情绪,本次项目中总共可识别括'angry', 'disgusted', 'fearful', 'happy', 'sad', 'surprised', 'neutral'七类情绪,后续也可添加ui界面使项目更加完善。


二、项目理论介绍
1.tensorflow基本介绍

本次项目使用的深度学习框架TensorFlow,它并在计算机视觉、音频处理、推荐系统和自然语言处理等场景下都被大面积推广使用,可以让开发者轻松构建和部署各种类型的机器学习模型,包括但不限于深度学习模型。
TensorFlow 主要任务是负责机器学习的每一个步骤。具体如下:
(1)模型的构建
(2)模型的训练
(3)模型的保存与加载
(4)模型的评估
(5)使用加速器提升性能
(6)在生产环境中部署网络
(7)对模型的数据进行可视化(TensorBoard)
2.卷积神经网络CNN基本介绍
卷积神经网络(Convolutional neural network, CNN)是一类包含卷积计算且具有深度结构的前馈神经网络,是近年发展起来并引起广泛重视的一种高效识别方法。它能够使用结构中较低层的神经网络提取图像的浅层特征(如边缘信息),较高层的神经网络提取图像的深层特征(如图像的某个像素块),最终得到图像的整体特征。CNN可以进行监督学习和非监督学习,其隐含层内的卷积核参数共享和层间连接的稀疏性使得卷积神经网络能够以较小的计算量对格点化特征,例如像素和音频进行学习、有稳定的效果且对数据没有额外的特征工程要求。
卷积神经网络的基本结构通常由以下几个部分组成:
(1)输入层:接收原始图像数据或其他类型的网格结构数据。
(2)卷积层:通过卷积操作提取输入数据的局部特征。卷积层中的每个卷积核可以提取一种特定的特征,多个卷积核可以并行工作以提取不同类型的特征。
(3)池化层:对卷积层的输出进行下采样(或称为降维),以减少参数数量和提高计算效率。常见的池化操作包括最大池化和平均池化。
(4)全连接层:将前面层提取的特征综合起来,用于分类或回归等任务。全连接层的每个神经元都与前一层的所有神经元相连。

三、项目代码
1.“建立数据集”部分代码
import numpy as np#1.24.4
import pandas as pd
from PIL import Image
from tqdm import tqdm
import os
# convert string to integer
def atoi(s):
n = 0
for i in s:
n = n*10 + ord(i) - ord("0")
return n
# making folders
outer_names = ['test','train']
inner_names = ['angry', 'disgusted', 'fearful', 'happy', 'sad', 'surprised', 'neutral']
os.makedirs('data', exist_ok=True)
for outer_name in outer_names:
os.makedirs(os.path.join('data',outer_name), exist_ok=True)
for inner_name in inner_names:
os.makedirs(os.path.join('data',outer_name,inner_name), exist_ok=True)
os.chdir('data')
# to keep count of each category
angry = 0
disgusted = 0
fearful = 0
happy = 0
sad = 0
surprised = 0
neutral = 0
angry_test = 0
disgusted_test = 0
fearful_test = 0
happy_test = 0
sad_test = 0
surprised_test = 0
neutral_test = 0
df = pd.read_csv('/Users/keaiwangyudegou/Desktop/emotionsss/fer2013.csv')
mat = np.zeros((48,48),dtype=np.uint8)
print("Saving images...")
# read the csv file line by line
for i in tqdm(range(len(df))):
txt = df['pixels'][i]
words = txt.split()
# the image size is 48x48
for j in range(2304):
xind = j // 48
yind = j % 48
value = int(words[j]) # 假设words[j]可以安全地转换为整数
value = np.clip(value, 0, 255)
mat[xind][yind] = atoi(words[j])
img = Image.fromarray(mat)
# train
if i < 28709:
if df['emotion'][i] == 0:
img.save('train/angry/im'+str(angry)+'.png')
angry += 1
elif df['emotion'][i] == 1:
img.save('train/disgusted/im'+str(disgusted)+'.png')
disgusted += 1
elif df['emotion'][i] == 2:
img.save('train/fearful/im'+str(fearful)+'.png')
fearful += 1
elif df['emotion'][i] == 3:
img.save('train/happy/im'+str(happy)+'.png')
happy += 1
elif df['emotion'][i] == 4:
img.save('train/sad/im'+str(sad)+'.png')
sad += 1
elif df['emotion'][i] == 5:
img.save('train/surprised/im'+str(surprised)+'.png')
surprised += 1
elif df['emotion'][i] == 6:
img.save('train/neutral/im'+str(neutral)+'.png')
neutral += 1
# test
else:
if df['emotion'][i] == 0:
img.save('test/angry/im'+str(angry_test)+'.png')
angry_test += 1
elif df['emotion'][i] == 1:
img.save('test/disgusted/im'+str(disgusted_test)+'.png')
disgusted_test += 1
elif df['emotion'][i] == 2:
img.save('test/fearful/im'+str(fearful_test)+'.png')
fearful_test += 1
elif df['emotion'][i] == 3:
img.save('test/happy/im'+str(happy_test)+'.png')
happy_test += 1
elif df['emotion'][i] == 4:
img.save('test/sad/im'+str(sad_test)+'.png')
sad_test += 1
elif df['emotion'][i] == 5:
img.save('test/surprised/im'+str(surprised_test)+'.png')
surprised_test += 1
elif df['emotion'][i] == 6:
img.save('test/neutral/im'+str(neutral_test)+'.png')
neutral_test += 1
print("Done!")
2.“模型训练与推理”部分代码
import numpy as np#1.24.4
#numpy函数用于数学运算
import argparse
#argparse函数用于解析参数
import matplotlib.pyplot as plt#3.7.5
#用于绘制图像
import cv2
#from tensorflow.keras.models import Sequential#tensorflow==2.11.0,keras==2.11.0
from keras.models import Sequential
#sequential用于线性堆叠网络层,将每一层的输出作为下一层的输入
from keras.layers import Dense, Dropout, Flatten
#导入三个不同的神经网络层
#dense:dense层是全连接层,在全连接层中间每个输入的神经元与输出的神经元相连
#dropout:dropout层是一种正则化技术,用于防止神经网络过拟合,中间会有一个rate参数,作为丢弃值,有助于增加鲁棒性。
#flatten:flatten层用于将多维数组转换为一维数组,因为dense需要接收一维数组的输入
from keras.layers import Conv2D
#conv2d是用于处理二维数据的卷积层
from keras.optimizers import Adam
#调用adam优化器
from keras.layers import MaxPooling2D
#调用最大池化层
from tensorflow.keras.preprocessing.image import ImageDataGenerator
#用于图像预处理和增强
import os
os.environ['TF_CPP_MIN_LOG_LEVEL'] = '2'
#设置环境变量TF_CPP_MIN_LOG_LEVEL的值为'2',它控制TensorFlow的日志输出级别。在这里,将日志级别设置为2意味着只显示错误信息,
#不显示其他级别的日志信息。这样可以减少在控制台上显示的日志信息,提高代码的可读性。
ap = argparse.ArgumentParser()#创建一个 argparse.ArgumentParser() 对象 ap,用于解析命令行参数。
ap.add_argument("--mode",help="train/display")
#使用 add_argument() 方法向 ap 中添加命令行参数。
#--mode 是参数的名称。
#help="train/display" 表示该参数的帮助信息,指明该参数可以接受的值是 "train" 或 "display"。
mode = ap.parse_args().mode
#使用 parse_args() 方法解析命令行参数,并将解析结果存储在 mode 变量中。
#.mode 是访问命令行参数 --mode 的值。
def plot_model_history(model_history):
fig, axs = plt.subplots(1,2,figsize=(15,5))
axs[0].plot(range(1,len(model_history.history['accuracy'])+1),model_history.history['accuracy'])
#通过 ax 对象的 plot() 方法,指定在第一个子图上进行绘制。循环从1-模型训练历史轮次的长度的整数列
axs[0].plot(range(1,len(model_history.history['val_accuracy'])+1),model_history.history['val_accuracy'])
#通过 ax 对象的 plot() 方法,指定在第一个子图上进行绘制。循环从1-模型训练历史验证机准确度的长度的整数列
axs[0].set_title('Model Accuracy')
#选择主题为模型轮数
axs[0].set_ylabel('Accuracy')
#选择训练集准确度的历史数据作为Y轴
axs[0].set_xlabel('Epoch')
#选择训练轮次作为x轴
axs[0].set_xticks(np.arange(1,len(model_history.history['accuracy'])+1))
#以训练集准确度为横轴刻度的标准
axs[0].legend(['train', 'val'], loc='best')
#用于在第一个子图上添加图例。图例标识了曲线的含义,使图形更易于理解
#axs[0].legend() 是调用 ax 对象的 legend() 方法。它将根据给定的标签列表,在第一个子图上显示图例
#['train', 'val'] 是图例标签的列表
#loc='best' 表示图例位置的参数。其中 'best' 表示自动选择最佳位置来放置图例
axs[1].plot(range(1,len(model_history.history['loss'])+1),model_history.history['loss'])
#第二个子图参数
#横轴数据:表示训练轮数的范围、纵轴数据列表:包含了模型在每个训练轮数上的损失值
axs[1].plot(range(1,len(model_history.history['val_loss'])+1),model_history.history['val_loss'])
#横轴数据:表示训练轮数的范围、纵轴数据列表:包含了模型在每个训练轮数上的损失值
axs[1].set_title('Model Loss')
#主题:模型损失
axs[1].set_ylabel('Loss')
#Y轴为损失函数
axs[1].set_xlabel('Epoch')
#X轴为训练轮次
axs[1].set_xticks(np.arange(1,len(model_history.history['loss'])+1))
#以历史损失函数做为X轴刻度
axs[1].legend(['train', 'val'], loc='best')
#用于第二个子图添加图例
fig.savefig('plot.png')
#保存图像
plt.show()
#显示图像
# Define data generators
train_dir = r'data/train'
#训练集地址(绝对路径)
val_dir = r'data/test'
#验证集地址(绝对路径)
num_train = 28709#训练集数量28709
num_val = 7178#验证集数量7178
batch_size = 64 #批量大小,指一次性传入参数的数量,不同的参数数量会影响最后模型的训练精度,如果该值变大会造成内存溢出
num_epoch = 1000#训练轮次,理论上轮次越高精度越高
train_datagen = ImageDataGenerator(rescale=1./255)
val_datagen = ImageDataGenerator(rescale=1./255)
#ImageDataGenerator是 Keras 提供的用于数据增强和预处理的工具类
#rescale=1./255用于图像缩放,这种图像缩放的操作可以提高模型的训练效果和收敛速度
#类似的还有旋转、平移、翻转等等操作
#而这两个创建的变量为数据生成器对象
train_generator = train_datagen.flow_from_directory(
train_dir,
target_size=(48,48),
batch_size=batch_size,
color_mode="grayscale",
class_mode='categorical')
#使用train对象创建train_generator
#导入训练集地址
#设置训练集图像大小
#设置批量大小
#设置模型颜色
#设置模型类为categorical
validation_generator = val_datagen.flow_from_directory(
val_dir,
target_size=(48,48),
batch_size=batch_size,
color_mode="grayscale",
class_mode='categorical')
#与上面相同,设置验证集模型
#搭建模型构建卷积神经网络cnn
model = Sequential()
#这一行初始化了Keras中的Sequential模型。Sequential模型是一系列层的线性堆叠,可以轻松地按顺序添加层。
model.add(Conv2D(32, kernel_size=(3, 3), activation='relu', input_shape=(48,48,1)))
#这一行向模型中添加了一个2D卷积层 (Conv2D)。
#32 表示输出的滤波器数量(即输出的通道数)。
#kernel_size=(3, 3) 指定了卷积核的大小为3x3。
#activation='relu' 设置激活函数为ReLU。
#input_shape=(48, 48, 1) 定义了输入数据的形状。这里 (48, 48, 1) 表示输入图像的尺寸为48x48像素,通道数为1(灰度图像)。
model.add(Conv2D(64, kernel_size=(3, 3), activation='relu'))
#这一行向模型中再次添加了一个Conv2D层。
#64 表示输出的滤波器数量。
#kernel_size=(3, 3) 设置卷积核的大小。
#activation='relu' 应用ReLU激活函数。
model.add(MaxPooling2D(pool_size=(2, 2)))
#这一行向模型中添加了一个MaxPooling2D层。
#pool_size=(2, 2) 设置池化窗口的大小为2x2,这将每个空间维度(高度和宽度)的输入减少为原来的一半。
model.add(Dropout(0.25))
#这一行向模型中添加了一个Dropout层。
#0.25 指定了训练过程中随机丢弃输入单元的比例。这里,每次更新时会随机丢弃25%的输入单元,有助于防止过拟合
model.add(Conv2D(128, kernel_size=(3, 3), activation='relu'))
#这一行向模型中再次添加了一个Conv2D层。
#128 表示输出的滤波器数量(即输出的通道数)。
#kernel_size=(3, 3) 设置卷积核的大小为3x3。
#activation='relu' 应用ReLU激活函数,引入非线性。
model.add(MaxPooling2D(pool_size=(2, 2)))
#这一行添加了另一个MaxPooling2D层。
#pool_size=(2, 2) 指定了2x2的池化窗口,将输入的每个空间维度(高度和宽度)减少为原来的一半。
model.add(Conv2D(128, kernel_size=(3, 3), activation='relu'))
#这一行再次向模型中添加了一个Conv2D层。
#128 再次指定了滤波器的数量。
#kernel_size=(3, 3) 设置卷积核的大小。
#activation='relu' 应用ReLU激活函数。
model.add(MaxPooling2D(pool_size=(2, 2)))
#添加了另一个MaxPooling2D层。
#pool_size=(2, 2) 指定了2x2的池化窗口。
model.add(Dropout(0.25))
#这一行向模型中添加了一个Dropout层。
#0.25 指定了训练过程中随机丢弃输入单元的比例。
model.add(Flatten())
#这一行向模型中添加了一个Flatten层。
#Flatten 层用于将输入的二维矩阵表示(在这种情况下,是卷积层的输出)转换为一维向量。它准备数据输入后续的全连接Dense层。
model.add(Dense(1024, activation='relu'))
#这一行向模型中添加了一个Dense(全连接)层。
#1024 指定了层中神经元(单元)的数量。
#activation='relu' 设置激活函数为ReLU,引入非线性。
model.add(Dropout(0.5))
#这一行向模型中添加了一个Dropout层。
#0.5 指定了训练过程中随机丢弃输入单元的比例。这里,每次更新时会随机丢弃50%的输入单元,有助于防止过拟合。
model.add(Dense(7, activation='softmax'))
#这一行向模型中再次添加了一个Dense(全连接)层。
#7 指定了输出神经元的数量,对应于分类任务中的类别数。
#activation='softmax' 应用softmax激活函数,通常用于多类别分类任务。它输出各个类别的概率分布。
#选择模式
if mode == "train":
#如果模型选择为训练模式
model.compile(loss='categorical_crossentropy',optimizer=Adam(lr=0.0001, decay=1e-6),metrics=['accuracy'])
#model.compile用来编译模型
#loss='categorical_crossentropy: 用于衡量预测概率分布与实际标签分布之间的差异。
#categorical_crossentropy: 通常用于多类别分类问题,其中每个示例属于单个类别,且类别是互斥的。
#optimizer=Adam(lr=0.0001, decay=1e-6): 这个参数定义了用于训练模型的优化器。
#在这里,使用的是 Adam 优化器(Adam 优化器根据计算得到的梯度调整模型的权重)。
#lr=0.0001: 指定学习率,控制优化过程中的步长大小。
#decay=1e-6: 指定每次更新时学习率的衰减量,这有助于提高训练的收敛性。
#metrics=['accuracy']: 这个参数指定在训练和测试过程中要监控的指标。在这里,使用 'accuracy',用于评估模型正确预测类标签的能力。
model_info = model.fit(
train_generator,
steps_per_epoch=num_train // batch_size,
epochs=num_epoch,
validation_data=validation_generator,
validation_steps=num_val // batch_size)
#使用数据生成器validation_generator、train_generator训练keras模型model
#其中train_generator用于训练的数据生成器。它会实时生成训练数据的批次
#steps_per_epoch:在宣布一个 epoch 完成之前,从 train_generator 中生成的步数(样本批次的数量)。
#num_train // batch_size 确定了每个 epoch 的批次数。
#epochs: 模型的训练轮数。一个 epoch 表示对整个训练数据的一次迭代。
#validation_data: 这是用于验证的数据生成器。它会生成验证数据的批次。
#validation_steps: 在每个 epoch 结束时,从 validation_generator 中生成的步数(样本批次的数量)。
#num_val // batch_size 确定了样本批次的数量。
#model_info: 这个变量保存了训练历史信息。它包含每个 epoch 的损失和指标值,这对于绘制训练曲线和评估模型性能很有用。
plot_model_history(model_info)
#用于绘制模型的训练历史情况
model.save_weights(r'model_1000.h5')
#模型保存路径(绝对路径)
#否则选择模型模式为显示模式
elif mode == "display":
model.load_weights(r'model_1000.h5')
#加载模型的绝对路径
cv2.ocl.setUseOpenCL(False)
#调用opencl功能,它可以利用gpu的并行处理能力来加速各种应用,但是这里选择的是关闭,我们也可以选择开启
emotion_dict = {0: "Angry", 1: "Disgusted", 2: "Fearful", 3: "Happy", 4: "Neutral", 5: "Sad", 6: "Surprised"}
#对每一种情绪给定一种键值,分为生气、厌恶、恐惧、快乐、自然、悲伤、惊讶
cap = cv2.VideoCapture(0)
#开启摄像头,0代表的是usb摄像头
while True:
#
ret, frame = cap.read()
#捕获视频帧,读取每一帧图像
#ret:布尔值,表示读取成功
#frame:读取出来的图像
if not ret:
break
#如果没有返回ret,则退出
facecasc = cv2.CascadeClassifier(cv2.data.haarcascades+'haarcascade_frontalface_default.xml')
#加载特征分类器,opencv自带的分类器
gray = cv2.cvtColor(frame, cv2.COLOR_BGR2GRAY)
#将图像转换为灰度图像
faces = facecasc.detectMultiScale(gray,scaleFactor=1.3, minNeighbors=5)
#facecase级联分类器,使用预训练人脸模型进行人脸检测
#detectMultiScale:用于在图像中检测不同尺寸的人脸
#scaleFactor=1.3: 用于调整人脸检测过程中的图像尺度,具体来说,它是指在每个缩放尺度上,
#算法将图像的尺寸缩小或放大的因子。较小的尺度因子可以检测到更小的人脸,但会增加计算成本。
#minNeighbors=5: 这是用于确定人脸的邻居数量的参数。它指定在人脸检测过程中,一个矩形框
#周围需要检测到多少个邻近的矩形框才能将其确认为人脸。较高的邻居数量可以过滤掉一些误检测,但也可能导致错过一些真正的人脸。
#画人脸矩形框
for (x, y, w, h) in faces:
#将人脸的x、y、w、h分离
cv2.rectangle(frame, (x, y-50), (x+w, y+h+10), (255, 0, 0), 2)
#cv2.rectangle:是opencv中专门用于绘制矩形框的库
#((x, y-50), (x+w, y+h+10)): 这是第二个参数,它是一个元组,包含两个坐标点,定义了矩形的左上角和右下角。
#第一个坐标点(x, y-50)表示矩形左上角的x坐标和y坐标减去50,
#第二个坐标点(x+w, y+h+10)表示矩形右下角的x坐标是x加上宽度w,y坐标是y加上高度h再加上10。
roi_gray = gray[y:y + h, x:x + w]
#提取出感兴趣区域,
#[y:y + h, x:x + w]: 这是Python中的切片操作,用于从gray图像中提取一个矩形区域。
#这个矩形区域的左上角坐标是(x, y),右下角坐标是(x + w, y + h)。其中:
#y:y + h表示从y行开始到y + h行结束(不包括y + h行),提取行的切片。
#x:x + w表示从x列开始到x + w列结束(不包括x + w列),提取列的切片。
cropped_img = np.expand_dims(np.expand_dims(cv2.resize(roi_gray, (48, 48)), -1), 0)
#np.expand_dims: 这是NumPy库中的一个函数,用于增加数组的维度。
#它接受两个参数:第一个是要扩展维度的数组,第二个是扩展维度的位置(从0开始计数)。
#cv2.resize(roi_gray, (48, 48)): 这是OpenCV库中的一个函数,用于改变图像的大小。
#roi_gray是原始的感兴趣区域(ROI),(48, 48)是新的尺寸,表示将图像调整为48x48像素。
#np.expand_dims(..., -1): 第一次调用np.expand_dims是将cv2.resize的结果扩展一个维度。
#由于cv2.resize的结果是一个二维数组(灰度图像),扩展维度位置为-1(表示最后一个维度),
#这将数组从形状(48, 48)变为形状(48, 48, 1),即增加了一个单维度的通道。
#np.expand_dims(..., 0): 第二次调用np.expand_dims是将上一步的结果再扩展一个维度,位置为0,
#这将数组从形状(48, 48, 1)变为形状(1, 48, 48, 1)。这个操作是为了满足某些深度学习框架对输入数据的维度要求,
#例如TensorFlow和PyTorch通常期望输入数据的维度是(batch_size, height, width, channels)。
prediction = model.predict(cropped_img)
#将处理后的图像数据cropped_img输入到训练好的模型model中,获取模型对这张图像的预测结果,
#并将这个结果存储在变量prediction中。
maxindex = int(np.argmax(prediction))
#确定模型预测结果中概率最高的类别的索引,并将这个索引存储在变量maxindex中
cv2.putText(frame, emotion_dict[maxindex], (x+20, y-60), cv2.FONT_HERSHEY_SIMPLEX, 1, (255, 255, 255), 2, cv2.LINE_AA)
#在frame图像或视频帧上,以坐标(x+20, y-60)为起始点,使用cv2.FONT_HERSHEY_SIMPLEX字体、大小为1、颜色为白色、线条粗细为2,并开启抗锯齿,绘制文本emotion_dict[maxindex]
cv2.imshow('Video', cv2.resize(frame,(1600,960),interpolation = cv2.INTER_CUBIC))
#展示显示结果
if cv2.waitKey(1) & 0xFF == ord('q'):
break
#判断如果按下Q键,则退出
cap.release()
cv2.destroyAllWindows()
#中断视频流
注意:
(1)该代码中某些文件的存储地址使用了绝对地址,读者运行时需自行更改为在自己电脑中的地址,绝对地址或相对地址都可!!!
(2)读者运行时首先需自行安装代码中所导入的全部库。
(3)在数据集时,代码中读取了fer2013.csv文件中的数据,并转换为了图像,再进行分文件夹保存与训练集、测试集划分的方式建立了数据集,fer2013.csv文件内存较大,我将上传到百度网盘中,请自行保存运行。
fer2013.csv:
链接: https://pan.baidu.com/s/12q6m2Fm8nWfkgsXaxH_ghQ?pwd=wgzz 提取码: wgzz 复制这段内容后打开百度网盘手机App,操作更方便哦
1413

被折叠的 条评论
为什么被折叠?



