✅作者简介:热爱科研的Matlab仿真开发者,擅长数据处理、建模仿真、程序设计、完整代码获取、论文复现及科研仿真。
🍎 往期回顾关注个人主页:Matlab科研工作室
🍊个人信条:格物致知,完整Matlab代码及仿真咨询内容私信。
🔥 内容介绍
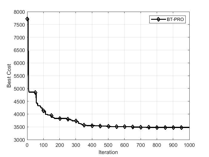
复杂山地环境(如高原峡谷、森林山区)因地形陡峭、障碍物密集、气象条件多变,给无人机路径规划带来极大挑战:传统算法易陷入局部最优(如卡在峡谷死角)、路径安全性不足(与山体距离过近)或平滑性差(频繁变向导致能耗激增)。局部加固算法(BT-PRO)通过动态调整路径节点的 "加固系数" 平衡勘探与开发能力,但在复杂地形中仍存在收敛速度慢、安全距离控制不足的问题。本文提出多策略改进的 BT-PRO 算法,融合地形自适应采样、安全距离动态调整与路径平滑优化策略,实现无人机在复杂山地环境中的高效、安全、低能耗路径规划。

⛳️ 运行结果

📣 部分代码
%% Top view
figure
surf(model.X,model.Y,model.H);
colormap summer;
axis equal
shading flat;
material dull;
camlight left;
lighting gouraud;
xlabel('x [m]');
ylabel('y [m]');
zlabel('z [m]');
hold on
% Threats as cylinders
threats = model.threats;
threat_num = size(threats,1);
for i = 1:threat_num
threat = threats(i,:);
threat_x = threat(1);
threat_y = threat(2);
threat_z = max(max(model.H))+1;
threat_radius = threat(4);
%
for j=1:3
theta = linspace(0, 2 * pi, 2000);
% Create the x and y positions for each Angle:
xx = threat_radius * cos(theta) + threat_x;
yy = threat_radius * sin(theta) + threat_y;
% A z value needs to be created for each (x,y) pair:
zz = zeros(1, numel(xx)) + threat_z;
%
plot3(threat_x, threat_y, threat_z, 'o', 'color', [160,94,166]./255, 'MarkerSize', 3, 'MarkerFaceColor','#752e29');
%
plot3(xx, yy, zz, '-', 'color', '#752e29', 'LineWidth', 1);
%
threat_radius = threat_radius - 20;
end
end
color = [0,0,0;...
1,0,1;...
1,1,0;...
0.7451,0.7451,0.7451;...
0.49,0.18,0.56;...
0,0,1;...
0.8549,0.6471,0.1255;...
0,1,0;...
0,1,1;...
1,0,0];
linestyle = {'-.', '-.', '-.', '-.', '-.', '-.', '-.', '-.', '-.', '-', '--'};
for n_algo=1:N_algo
xyzp = all_xyzp{1, n_algo};
p1(n_algo)=plot3(xyzp(1,:),xyzp(2,:),xyzp(3,:),'color',color(n_algo,:),'LineWidth',2,'LineStyle',char(linestyle(n_algo)));
end
legend(p1,results.alg_name{1,:},'location','northwest')
view(0,90)
hold off;
%% Convergence curve
figure
color = [0,0,0;...
1,0,1;...
1,1,0;...
0.7451,0.7451,0.7451;...
0.49,0.18,0.56;...
0,0,1;...
0.8549,0.6471,0.1255;...
0,1,0;...
0,1,1;...
1,0,0];
markerstyle = {'d', 'o', '*', 's', 'v', 'p', '^', '+', '<', '>'};
for n_algo=1:N_algo
plot(results.cost_history(n_algo,:),'Color',color(n_algo,:),'LineWidth',2,...
'Marker',char(markerstyle(n_algo)),'MarkerSize',6,'MarkerIndices',1:50:1000);
hold on
end
xlabel('Iteration');ylabel('Best Cost')
legend(results.alg_name {1, :})
grid on;
end
🔗 参考文献
🎈 部分理论引用网络文献,若有侵权联系博主删除
👇 关注我领取海量matlab电子书和数学建模资料
🏆团队擅长辅导定制多种科研领域MATLAB仿真,助力科研梦:
🌈 各类智能优化算法改进及应用
生产调度、经济调度、装配线调度、充电优化、车间调度、发车优化、水库调度、三维装箱、物流选址、货位优化、公交排班优化、充电桩布局优化、车间布局优化、集装箱船配载优化、水泵组合优化、解医疗资源分配优化、设施布局优化、可视域基站和无人机选址优化、背包问题、 风电场布局、时隙分配优化、 最佳分布式发电单元分配、多阶段管道维修、 工厂-中心-需求点三级选址问题、 应急生活物质配送中心选址、 基站选址、 道路灯柱布置、 枢纽节点部署、 输电线路台风监测装置、 集装箱调度、 机组优化、 投资优化组合、云服务器组合优化、 天线线性阵列分布优化、CVRP问题、VRPPD问题、多中心VRP问题、多层网络的VRP问题、多中心多车型的VRP问题、 动态VRP问题、双层车辆路径规划(2E-VRP)、充电车辆路径规划(EVRP)、油电混合车辆路径规划、混合流水车间问题、 订单拆分调度问题、 公交车的调度排班优化问题、航班摆渡车辆调度问题、选址路径规划问题、港口调度、港口岸桥调度、停机位分配、机场航班调度、泄漏源定位
🌈 机器学习和深度学习时序、回归、分类、聚类和降维
2.1 bp时序、回归预测和分类
2.2 ENS声神经网络时序、回归预测和分类
2.3 SVM/CNN-SVM/LSSVM/RVM支持向量机系列时序、回归预测和分类
2.4 CNN|TCN|GCN卷积神经网络系列时序、回归预测和分类
2.5 ELM/KELM/RELM/DELM极限学习机系列时序、回归预测和分类
2.6 GRU/Bi-GRU/CNN-GRU/CNN-BiGRU门控神经网络时序、回归预测和分类
2.7 ELMAN递归神经网络时序、回归\预测和分类
2.8 LSTM/BiLSTM/CNN-LSTM/CNN-BiLSTM/长短记忆神经网络系列时序、回归预测和分类
2.9 RBF径向基神经网络时序、回归预测和分类
2.10 DBN深度置信网络时序、回归预测和分类
2.11 FNN模糊神经网络时序、回归预测
2.12 RF随机森林时序、回归预测和分类
2.13 BLS宽度学习时序、回归预测和分类
2.14 PNN脉冲神经网络分类
2.15 模糊小波神经网络预测和分类
2.16 时序、回归预测和分类
2.17 时序、回归预测预测和分类
2.18 XGBOOST集成学习时序、回归预测预测和分类
2.19 Transform各类组合时序、回归预测预测和分类
方向涵盖风电预测、光伏预测、电池寿命预测、辐射源识别、交通流预测、负荷预测、股价预测、PM2.5浓度预测、电池健康状态预测、用电量预测、水体光学参数反演、NLOS信号识别、地铁停车精准预测、变压器故障诊断
🌈图像处理方面
图像识别、图像分割、图像检测、图像隐藏、图像配准、图像拼接、图像融合、图像增强、图像压缩感知
🌈 路径规划方面
旅行商问题(TSP)、车辆路径问题(VRP、MVRP、CVRP、VRPTW等)、无人机三维路径规划、无人机协同、无人机编队、机器人路径规划、栅格地图路径规划、多式联运运输问题、 充电车辆路径规划(EVRP)、 双层车辆路径规划(2E-VRP)、 油电混合车辆路径规划、 船舶航迹规划、 全路径规划规划、 仓储巡逻
🌈 无人机应用方面
无人机路径规划、无人机控制、无人机编队、无人机协同、无人机任务分配、无人机安全通信轨迹在线优化、车辆协同无人机路径规划
🌈 通信方面
传感器部署优化、通信协议优化、路由优化、目标定位优化、Dv-Hop定位优化、Leach协议优化、WSN覆盖优化、组播优化、RSSI定位优化、水声通信、通信上传下载分配
🌈 信号处理方面
信号识别、信号加密、信号去噪、信号增强、雷达信号处理、信号水印嵌入提取、肌电信号、脑电信号、信号配时优化、心电信号、DOA估计、编码译码、变分模态分解、管道泄漏、滤波器、数字信号处理+传输+分析+去噪、数字信号调制、误码率、信号估计、DTMF、信号检测
🌈电力系统方面
微电网优化、无功优化、配电网重构、储能配置、有序充电、MPPT优化、家庭用电、电/冷/热负荷预测、电力设备故障诊断、电池管理系统(BMS)SOC/SOH估算(粒子滤波/卡尔曼滤波)、 多目标优化在电力系统调度中的应用、光伏MPPT控制算法改进(扰动观察法/电导增量法)
🌈 元胞自动机方面
交通流 人群疏散 病毒扩散 晶体生长 金属腐蚀
🌈 雷达方面
卡尔曼滤波跟踪、航迹关联、航迹融合、SOC估计、阵列优化、NLOS识别
🌈 车间调度
零等待流水车间调度问题NWFSP 、 置换流水车间调度问题PFSP、 混合流水车间调度问题HFSP 、零空闲流水车间调度问题NIFSP、分布式置换流水车间调度问题 DPFSP、阻塞流水车间调度问题BFSP
👇
多策略改进无人机路径规划算法
1277

被折叠的 条评论
为什么被折叠?



