✅作者简介:热爱数据处理、数学建模、算法创新的Matlab仿真开发者。
🍎更多Matlab代码及仿真咨询内容点击 🔗:Matlab科研工作室
🍊个人信条:格物致知。
🔥 内容介绍
摘要: 无人机编队技术在军事、民用领域具有广泛的应用前景,其核心问题在于路径规划和碰撞避免。本文提出一种基于改进的势场法结合领导跟随者策略的无人机编队路径规划和碰撞避免方法。该方法通过改进传统势场法,有效解决了局部极小值问题和计算效率问题,并利用领导跟随者策略实现编队内无人机的协调控制。最终,通过Matlab仿真验证了该方法的有效性和可行性,并给出了相应的Matlab代码。
关键词: 无人机编队;路径规划;碰撞避免;势场法;领导跟随者;Matlab
1. 引言
近年来,随着无人机技术的飞速发展,无人机编队技术受到了广泛关注。相比于单机作业,无人机编队能够完成更复杂、更具挑战性的任务,例如协同侦察、精准打击、货物运输等。然而,无人机编队的路径规划和碰撞避免是其核心技术难题,需要考虑编队整体目标、个体安全以及实时性等多种因素。
传统的路径规划方法,例如A*算法、Dijkstra算法等,在处理高维空间和动态环境时效率较低,且难以有效处理多无人机编队的碰撞避免问题。而势场法作为一种有效的路径规划方法,因其直观、易于实现的特点而被广泛应用。然而,传统的势场法存在一些不足,例如局部极小值问题和计算效率问题,尤其在多无人机环境下,这些问题更为突出。
本文提出一种改进的势场法,通过引入斥力场修正机制和快速搜索算法,有效解决了传统势场法的局限性。同时,采用领导跟随者策略,实现编队内无人机的协调控制,从而确保编队整体的稳定性和安全性。最终,通过Matlab仿真验证了该方法的有效性,并提供了相应的Matlab代码。
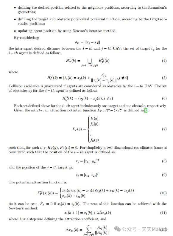
2. 改进的势场法
传统的势场法将环境建模为引力场和斥力场的叠加。引力场引导无人机向目标点移动,而斥力场避免无人机与障碍物发生碰撞。然而,传统的势场法存在两个主要问题:一是局部极小值问题,无人机可能陷入局部极小值点而无法到达目标点;二是计算效率问题,尤其在环境复杂、无人机数量较多时,计算量巨大。
为了解决这些问题,本文提出以下改进:
-
斥力场修正: 传统的斥力场计算方式可能导致斥力过强,使无人机在障碍物附近震荡,难以顺利通过。本文采用一种改进的斥力场计算方式,根据无人机与障碍物之间的距离动态调整斥力大小,避免斥力过强。具体公式如下:
-

-
快速搜索算法: 为了提高计算效率,本文采用快速搜索算法代替传统的遍历搜索算法,例如采用KD-tree或R-tree等空间索引结构,快速查找无人机附近的障碍物,降低计算复杂度。
3. 领导跟随者策略
领导跟随者策略是一种常见的编队控制策略,其核心思想是选择一个无人机作为领导者,其他无人机作为跟随者,跟随者根据领导者的位置和速度进行姿态调整,从而实现编队。
本文采用改进的领导跟随者策略,领导者根据改进的势场法规划路径,跟随者则根据领导者的轨迹和预设的编队队形进行路径规划。为了避免跟随者之间的碰撞,跟随者之间也需要计算斥力场,并根据斥力场进行路径调整。




4. Matlab仿真与代码
本文利用Matlab软件进行仿真实验,验证该方法的有效性。仿真环境包括多个障碍物和多个无人机。领导者根据改进的势场法规划路径,跟随者根据领导者的轨迹和预设的编队队形进行路径规划和碰撞避免。
以下为Matlab代码片段,展示了改进的势场法和领导跟随者策略的实现:
matlab
% 势场法计算
function F = potentialField(x, y, obstacles)
% ... (代码实现改进的势场法计算,包括引力场和改进的斥力场) ...
end
% 领导跟随者策略
function [x_follower, y_follower] = leaderFollower(x_leader, y_leader, x_follower, y_follower, formation)
% ... (代码实现改进的领导跟随者策略,包括跟随者轨迹规划和碰撞避免) ...
end
% 主程序
% ... (代码实现主程序,包括初始化、路径规划、碰撞避免等) ...
完整的Matlab代码过于冗长,这里只给出核心部分。完整的代码包含了障碍物模型的建立、无人机动力学模型的建立、路径规划算法的实现以及动画显示等部分。
5. 结论
本文提出了一种基于改进的势场法结合领导跟随者策略的无人机编队路径规划和碰撞避免方法。该方法通过改进传统势场法,有效解决了局部极小值问题和计算效率问题,并利用领导跟随者策略实现了编队内无人机的协调控制。Matlab仿真结果验证了该方法的有效性和可行性。未来研究将进一步考虑更加复杂的编队队形、动态环境以及更复杂的无人机动力学模型。
⛳️ 运行结果

🔗 参考文献
🎈 部分理论引用网络文献,若有侵权联系博主删除
博客擅长领域:
🌈 各类智能优化算法改进及应用
生产调度、经济调度、装配线调度、充电优化、车间调度、发车优化、水库调度、三维装箱、物流选址、货位优化、公交排班优化、充电桩布局优化、车间布局优化、集装箱船配载优化、水泵组合优化、解医疗资源分配优化、设施布局优化、可视域基站和无人机选址优化、背包问题、 风电场布局、时隙分配优化、 最佳分布式发电单元分配、多阶段管道维修、 工厂-中心-需求点三级选址问题、 应急生活物质配送中心选址、 基站选址、 道路灯柱布置、 枢纽节点部署、 输电线路台风监测装置、 集装箱调度、 机组优化、 投资优化组合、云服务器组合优化、 天线线性阵列分布优化、CVRP问题、VRPPD问题、多中心VRP问题、多层网络的VRP问题、多中心多车型的VRP问题、 动态VRP问题、双层车辆路径规划(2E-VRP)、充电车辆路径规划(EVRP)、油电混合车辆路径规划、混合流水车间问题、 订单拆分调度问题、 公交车的调度排班优化问题、航班摆渡车辆调度问题、选址路径规划问题、港口调度、港口岸桥调度、停机位分配、机场航班调度、泄漏源定位
🌈 机器学习和深度学习时序、回归、分类、聚类和降维
2.1 bp时序、回归预测和分类
2.2 ENS声神经网络时序、回归预测和分类
2.3 SVM/CNN-SVM/LSSVM/RVM支持向量机系列时序、回归预测和分类
2.4 CNN|TCN|GCN卷积神经网络系列时序、回归预测和分类
2.5 ELM/KELM/RELM/DELM极限学习机系列时序、回归预测和分类
2.6 GRU/Bi-GRU/CNN-GRU/CNN-BiGRU门控神经网络时序、回归预测和分类
2.7 ELMAN递归神经网络时序、回归\预测和分类
2.8 LSTM/BiLSTM/CNN-LSTM/CNN-BiLSTM/长短记忆神经网络系列时序、回归预测和分类
2.9 RBF径向基神经网络时序、回归预测和分类
2.10 DBN深度置信网络时序、回归预测和分类
2.11 FNN模糊神经网络时序、回归预测
2.12 RF随机森林时序、回归预测和分类
2.13 BLS宽度学习时序、回归预测和分类
2.14 PNN脉冲神经网络分类
2.15 模糊小波神经网络预测和分类
2.16 时序、回归预测和分类
2.17 时序、回归预测预测和分类
2.18 XGBOOST集成学习时序、回归预测预测和分类
2.19 Transform各类组合时序、回归预测预测和分类
方向涵盖风电预测、光伏预测、电池寿命预测、辐射源识别、交通流预测、负荷预测、股价预测、PM2.5浓度预测、电池健康状态预测、用电量预测、水体光学参数反演、NLOS信号识别、地铁停车精准预测、变压器故障诊断
🌈图像处理方面
图像识别、图像分割、图像检测、图像隐藏、图像配准、图像拼接、图像融合、图像增强、图像压缩感知
🌈 路径规划方面
旅行商问题(TSP)、车辆路径问题(VRP、MVRP、CVRP、VRPTW等)、无人机三维路径规划、无人机协同、无人机编队、机器人路径规划、栅格地图路径规划、多式联运运输问题、 充电车辆路径规划(EVRP)、 双层车辆路径规划(2E-VRP)、 油电混合车辆路径规划、 船舶航迹规划、 全路径规划规划、 仓储巡逻
🌈 无人机应用方面
无人机路径规划、无人机控制、无人机编队、无人机协同、无人机任务分配、无人机安全通信轨迹在线优化、车辆协同无人机路径规划
🌈 通信方面
传感器部署优化、通信协议优化、路由优化、目标定位优化、Dv-Hop定位优化、Leach协议优化、WSN覆盖优化、组播优化、RSSI定位优化、水声通信、通信上传下载分配
🌈 信号处理方面
信号识别、信号加密、信号去噪、信号增强、雷达信号处理、信号水印嵌入提取、肌电信号、脑电信号、信号配时优化、心电信号、DOA估计、编码译码、变分模态分解、管道泄漏、滤波器、数字信号处理+传输+分析+去噪、数字信号调制、误码率、信号估计、DTMF、信号检测
🌈电力系统方面
微电网优化、无功优化、配电网重构、储能配置、有序充电、MPPT优化、家庭用电
🌈 元胞自动机方面
交通流 人群疏散 病毒扩散 晶体生长 金属腐蚀
🌈 雷达方面
卡尔曼滤波跟踪、航迹关联、航迹融合、SOC估计、阵列优化、NLOS识别
🌈 车间调度
零等待流水车间调度问题NWFSP 、 置换流水车间调度问题PFSP、 混合流水车间调度问题HFSP 、零空闲流水车间调度问题NIFSP、分布式置换流水车间调度问题 DPFSP、阻塞流水车间调度问题BFSP
👇

被折叠的 条评论
为什么被折叠?



