✅作者简介:热爱科研的Matlab仿真开发者,修心和技术同步精进,matlab项目合作可私信。
🍎个人主页:Matlab科研工作室
🍊个人信条:格物致知。
基于NLMS算法的自适应滤波器的构建方法,该方法具体步骤如下:步骤一:确定参数;步骤二:初始化;步骤三:确定数据.本发明利用自适应滤波器中步长的变化,增强其滤波性能,尤其在低信噪比环境下,提高了滤波系统的抗噪能力.它在自适应滤波技术领域里具有较好的实用价值及广阔地应用前景.

⛄ 部分代码
function y = slicer256(u);
% This function maps its complex input u
% into the closest entry in a 256QAM constellation.
if abs(real(u)) <= 2
a = 1;
elseif abs(real(u)) <= 4
a = 3;
elseif abs(real(u)) <= 6
a = 5;
elseif abs(real(u)) <= 8
a = 7;
elseif abs(real(u)) <= 10
a = 9;
elseif abs(real(u)) <= 12
a = 11;
elseif abs(real(u)) <= 14
a = 13;
else
a = 15;
end
if abs(imag(u)) <= 2
b = 1;
elseif abs(imag(u)) <= 4
b = 3;
elseif abs(imag(u)) <= 6
b = 5;
elseif abs(imag(u)) <= 8
b = 7;
elseif abs(imag(u)) <= 10
b = 9;
elseif abs(imag(u)) <= 12
b = 11;
elseif abs(imag(u)) <= 14
b = 13;
else
b = 15;
end
if real(u) >= 0 % Avoid using the sign function of
sign_a = 1; % matlab since it returns 0 when its input
else % is zero.
sign_a = -1;
end
if imag(u) >= 0
sign_b = 1;
else
sign_b = -1;
end
y = a*sign_a + j*b*sign_b;
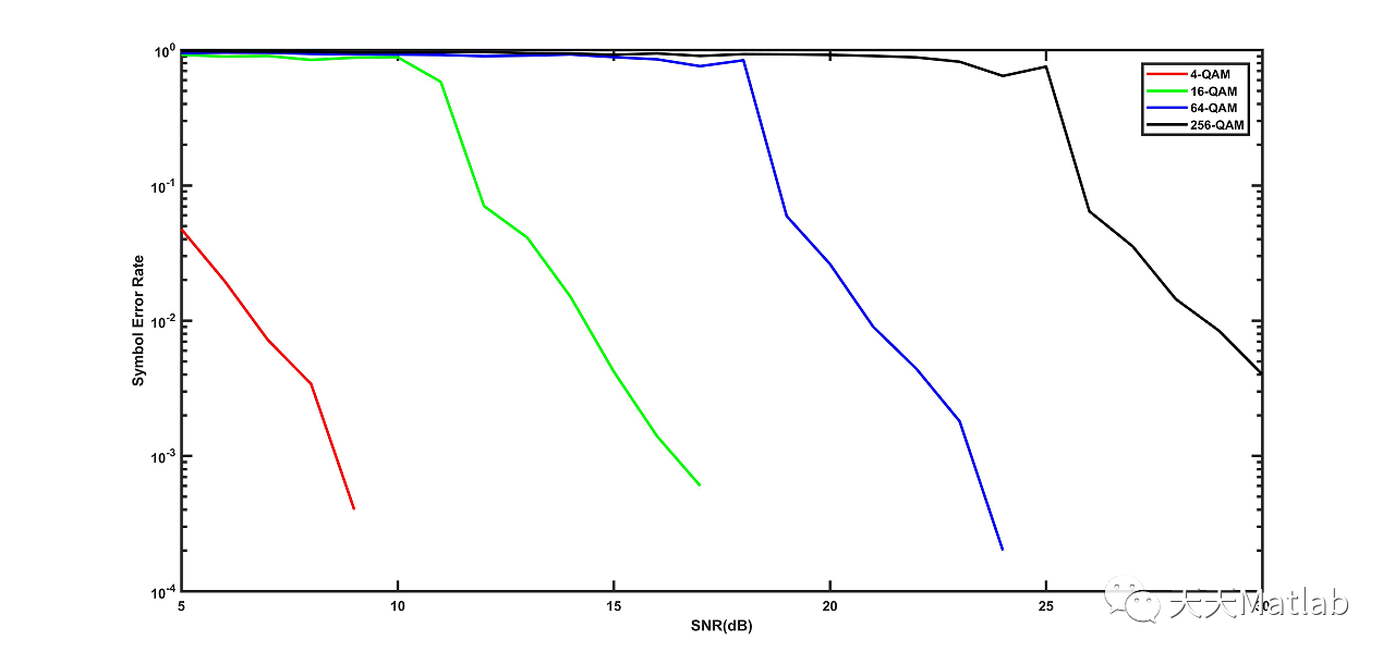
⛄ 运行结果


⛄ 参考文献
[1]肖鹏韬, 姚金杰, 高磊. NLMS判决反馈均衡器在水声通信中的应用[J]. 伺服控制, 2011(2):49-50.
⛄ 完整代码
❤️部分理论引用网络文献,若有侵权联系博主删除
❤️ 关注我领取海量matlab电子书和数学建模资料
介绍了一种基于NLMS算法的自适应滤波器构建方法,通过调整步长来提高滤波性能,特别是在低信噪比环境中增强系统的抗干扰能力。此方法在自适应滤波技术领域具有广泛的应用前景。
576

被折叠的 条评论
为什么被折叠?



