1 内容介绍
在当今全球经济快速发展不断加剧能源需求与环境保护矛盾的背景下,光伏发电技术得到了广泛关注。实用的光伏电池仿真模型和高效的最大功率点追踪(MPPT)控制算法对光伏发电的推广应用具有十分重要的意义。论文主要对光伏电池建模和MPPT控制算法进行了研究。在当前实际工程广泛使用的光伏电池4参数行为模型及相应的电池性能参数修正公式中,补偿系数采用推荐典型值时,得到的仿真曲线与光伏电池温度特性不符。针对这一问题,论文基于实际光伏电池数据手册中相关系数实测值和相关研究文献对补偿系数的调整结果,结合实际的仿真情况,提出了温度补偿系数的设置建议。针对现有电池仿真模型普遍存在移植难度大和参数设置不便等不足,论文基于Matlab/Simulink平台开发了封装成精装子系统的光伏电池工程用仿真模型,模型具有很好的可移植性和便捷性,满足工程应用需求。相应的仿真结果表明:按照论文所提的温度补偿系数设置建议对相应的系数进行设置,所开发的仿真模型对不同环境条件下的实际电池输出特性均能够较好地进行模拟。在外界光照辐射强度快速连续变化情况下进行MPPT,功率预测法虽然能够成功避免误判现象的发生,但其追踪至系统最大功率点(MPP)附近时,因其单一的逻辑判断机制会使得系统功率在MPP两侧发生不必要的往返振荡现象,降低了系统的追踪效率,同时还使得追踪过程中系统的工作点与MPP发生较大的偏离,增加了不必要的功率损失。
2 仿真代码
%%%%%%%%%%%%%%%%%%%%%%%%%%%%%%%%%%%%%%%%%%%%%%%%%%%%%%%%%%%%%%%%%%%%%%%%%%%
%% Dr.Tummala.S.L.V.Ayyarao
%% https://scholar.google.co.in/citations?user=X7i25FAAAAAJ&hl=en&oi=sra
%% GMR Institute of Technology, India
%% Ayyarao, TummalaS LV, N. S. S. RamaKrishna, Rajvikram Madurai Elavarasam, Nishanth Polumahanthi, M. Rambabu, Gaurav Saini, Baseem Khan, and Bilal Alatas. "War Strategy Optimization Algorithm: A New Effective Metaheuristic Algorithm for Global Optimization." IEEE Access (2022).
%% https://ieeexplore.ieee.org/abstract/document/9718247
%% Code developed by Tummala.S.L.V.Ayyarao
%% Ayyarao, Tummala SLV, and Polamarasetty P. Kumar. "Parameter estimation of solar PV models with a new proposed war strategy optimization algorithm." International Journal of Energy Research (2022).
% close all
clear
clc
format long;
Solidiers_no=50; % Number of Soldiers
Max_iteration=1000; % Maximum numbef of iterations
global V Ie Im
% Objective Function
tic
fobj=@single_dd;
lb=[0 0 0 0 1];
ub=[1 1 100 0.5 2];
dim=5;
BEst=zeros(1,10);
BESTT1=inf;
for i=1:10
i
[Best_score,Best_pos,WSO_cg_curve]=WSO(Solidiers_no,Max_iteration,lb,ub,dim,fobj);
BEst(i)=Best_score;
if Best_score<BESTT1
BESTT1 = Best_score;
BESTT2=Best_pos;
end
% BEst(i)=min(PSO_cg_curve);
end
toc
S=std(BEst)
A=mean(BEst)
B=min(BEst)
single_dd(BESTT2)
% figure(1)
figure(1)
semilogy(WSO_cg_curve,'Color','b')
title('Objective space')
xlabel('Iteration');
ylabel('Best score obtained so far');
% % % %
axis tight
grid on
box on
figure(2)
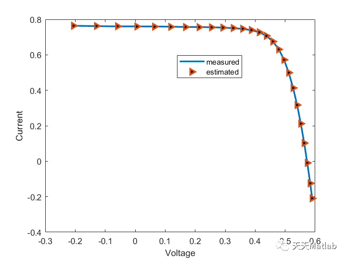
plot(V,Im,'LineWidth',2)
hold on
plot(V,Ie,'>','LineWidth',2,'MarkerFaceColor','black')
xlabel('Voltage')
ylabel('Current')
legend('measured','estimated')
figure(3)
plot(V, V.*Im,'LineWidth',2)
hold on
plot(V,V.*Ie,'>','LineWidth',2)
xlabel('Voltage')
ylabel('Power')
3 运行结果



4 参考文献
[1]李洁, 韩洲亮. 带有MPPT跟踪技术的太阳能光伏电池MATLAB仿真模型[J]. 自动化与仪器仪表, 2017(1):3.
[2]严国康. 太阳能光伏电池工程用仿真模型及其MPPT控制算法研究[D]. 重庆大学, 2015.
博主简介:擅长智能优化算法、神经网络预测、信号处理、元胞自动机、图像处理、路径规划、无人机等多种领域的Matlab仿真,相关matlab代码问题可私信交流。
部分理论引用网络文献,若有侵权联系博主删除。
140

被折叠的 条评论
为什么被折叠?



