✅作者简介:热爱科研的Matlab仿真开发者,擅长数据处理、建模仿真、程序设计、完整代码获取、论文复现及科研仿真。
🍎 往期回顾关注个人主页:Matlab科研工作室
🍊个人信条:格物致知,完整Matlab代码及仿真咨询内容私信。
🔥 内容介绍
无人水面艇(Unmanned Surface Vehicle, USV)作为海洋探测、环境监测、安防巡逻等任务的核心装备,其自主控制技术直接决定任务执行的安全性与效率。与无人车相比,USV 的运行环境更复杂(如波浪、水流扰动)、动力学特性更强耦合(如横摇与航向的相互影响),且面临路径跟踪、避障、航速调节等多目标协同控制需求。模型预测控制(Model Predictive Control, MPC)凭借多约束处理、多目标优化、动态轨迹规划的独特优势,已成为 USV 自主控制的关键技术,能够在复杂海洋环境中实现高精度的路径跟踪、自适应避障与稳定航行。
二、USV 自主控制的核心挑战与控制需求
2.1 复杂环境与动力学特性的耦合
USV 的运动受海洋环境扰动与自身动力学特性的双重影响:
- 环境扰动
:波浪导致的横摇、纵摇运动,水流引起的侧向漂移(尤其是低速时,水流干扰可能使 USV 偏离路径 10° 以上),风力对艇体的推力矩;
- 动力学耦合
:推进系统(如双螺旋桨)的转速差会同时影响航向与航速,高速转向时艇体的横倾可能改变水动力系数,导致运动状态非线性变化;
- 模型不确定性
:水动力参数(如阻力系数、附加质量)随航速、吃水深度变化,难以通过机理建模精确描述。
例如,在 3 级海况(浪高 0.5 - 1.25m)中,传统 PID 控制的 USV 可能因波浪扰动导致航向偏差超过 15°,而 MPC 可通过预测扰动影响并提前调整控制量,将偏差控制在 5° 以内。
2.2 多任务目标与约束的协同
USV 的自主控制需平衡多目标优先级,同时满足物理约束:
- 核心控制目标
- 路径跟踪
:沿预设航线行驶,侧向偏差≤1m(高精度任务如测绘);
- 避障
:与静态障碍物(如岛屿)、动态目标(如其他船只)保持安全距离(≥5 倍艇长);
- 航速控制
:根据任务需求调节航速(如巡逻时 3m/s,测绘时 1m/s),同时优化能耗(如续航时间最大化)。
- 路径跟踪
- 硬约束条件
- 执行器限制
:推进电机转速≤3000r/min,舵角范围 (-30°, 30°);
- 运动学约束
:最大转向角速度≤10°/s(避免艇体剧烈摇晃),横倾角≤15°(防止侧翻);
- 任务约束
:如禁航区不得进入,采样点停留时间≥10s(环境监测任务)。
- 执行器限制
传统控制方法(如 PID 分立式控制)难以处理目标间的耦合关系(如避障时需同时调整航向与航速),而 MPC 可通过统一优化框架实现多目标协同。
2.3 实时性与鲁棒性的平衡
USV 的任务场景(如港口、内河)动态性强(如突发船只闯入),要求控制决策在 1 - 5 秒内响应;同时,模型简化与环境扰动可能导致预测偏差,需控制系统具备鲁棒性。例如,突发强水流(流速 0.5m/s)可能使 USV 在 2 秒内偏离路径 2m,MPC 需在 1 秒内重新规划轨迹并生成控制量,避免碰撞。
三、MPC 在 USV 自主控制中的适用性与优势
MPC 的核心机制(滚动优化、约束显式处理、模型预测)与 USV 的控制需求高度匹配,其适用性体现在以下方面:
3.1 基于模型的动态预测能力
MPC 利用 USV 的动力学模型(考虑水动力、推进力等),根据当前状态和未来控制输入,预测未来多个时刻的状态(位置、速度、航向等)。例如,通过预测模型,可提前预估在特定水流速度和方向下,USV 以当前控制量行驶 3 秒后的位置,为控制决策提供前瞻性信息。
3.2 多约束的显式处理机制
在优化过程中,MPC 能直接将 USV 的物理约束(如推进器最大推力、舵机最大转角)、运动学约束(如最大加速度、转向角速度限制)以及任务相关约束(如禁航区限制)纳入目标函数或约束条件。以舵角限制为例,可在优化求解时设置舵角变量的取值范围,确保生成的控制指令不会超出硬件能力。
3.3 滚动优化实现实时调整
MPC 采用滚动优化策略,在每个控制周期,基于当前最新状态重新进行预测和优化,仅将优化得到的第一个控制量应用于 USV,下一周期再重复该过程。这种方式使 MPC 能实时响应环境变化和模型不确定性。如在航行中突遇风浪,MPC 可根据新的状态测量值,在后续周期内快速调整控制量,保证 USV 稳定航行。
四、基于 MPC 的 USV 自主控制策略设计
针对 USV 的路径跟踪、避障、航速调节等核心任务,MPC 控制策略需实现 “环境感知 - 状态估计 - 轨迹优化 - 控制执行” 的闭环,具体设计如下:
4.1 环境感知与状态估计
- 传感器融合
:融合 GPS、IMU、雷达、视觉传感器等数据,获取 USV 精确位置、姿态、速度以及周围障碍物信息。如通过 GPS 确定经纬度位置,IMU 测量姿态角,雷达探测障碍物距离和方位。
- 状态估计滤波
:采用扩展卡尔曼滤波(EKF)或无迹卡尔曼滤波(UKF)等方法,对传感器噪声和模型不确定性进行处理,估计 USV 真实状态。例如,EKF 可将非线性的 USV 动力学模型线性化,结合传感器测量值,递归估计状态变量及其协方差。



五、挑战与未来发展方向
尽管 MPC 在 USV 控制中表现优异,但实际应用仍面临以下挑战:
5.1 非线性与计算复杂度的矛盾
强非线性场景(如高速转向、高海况)需采用 NMPC,但非线性优化的计算量随预测时域呈指数增长,普通嵌入式平台难以满足实时性(如 1 秒内完成求解)。
- 解决方案
- 采用分段线性化技术
:将 USV 运动范围划分为多个线性区域,每个区域用线性模型近似,在不同区域切换线性 MPC 控制,降低计算复杂度。
- 基于深度学习的代理模型(Surrogate Model)
:用神经网络拟合 NMPC 的优化结果,实现 “离线训练,在线查询”,将计算时间从秒级降至毫秒级。例如,训练一个深度神经网络,输入为 USV 当前状态和环境信息,输出为优化后的控制量,通过大量样本训练使网络学习到 NMPC 的映射关系。
- 采用分段线性化技术
5.2 模型不确定性与扰动鲁棒性
水动力参数的时变特性(如航速变化导致阻力系数改变)可能使 MPC 预测模型失配,导致跟踪精度下降。
- 解决方案
- 自适应 MPC
:在线识别水动力参数(如通过递归最小二乘算法估计附加质量),实时更新模型。在每个控制周期,利用新的测量数据更新参数估计值,使模型更贴合实际。
- 鲁棒 MPC
:考虑参数不确定性范围(如阻力系数 ±20%),在优化中引入最坏情况约束,确保控制效果在所有可能参数下均满足安全要求。例如,在优化时,对每个可能的参数取值组合进行评估,选择能保证系统性能的控制量。
- 自适应 MPC
5.3 多 USV 协同控制
在编队航行、联合搜救等任务中,多 USV 需保持队形同时避障,传统单艇 MPC 难以处理艇间耦合约束。
- 解决方案
- 分布式 MPC
:每艘 USV 仅优化自身轨迹,通过通信共享局部信息(如位置、速度),在目标函数中加入队形保持项(如与邻艇的距离偏差)。各艇根据自身和邻艇信息独立计算控制量,减少通信负担和计算量。
- 集中式 MPC(适用于小规模编队)
:以整个编队为控制对象,统一优化所有 USV 的轨迹,确保全局最优,但计算量随编队规模急剧增加。例如,将编队中所有 USV 的状态和控制量作为优化变量,在统一的目标函数和约束条件下求解。
- 分布式 MPC
5.4 能源效率优化
USV 的续航能力受限于电池容量,需在控制中兼顾能耗优化(如推进功率最小化)。
- 解决方案
- 将能耗模型纳入 MPC 目标函数
:如推进功率与航速的三次方关系,通过优化航速与转向策略,在满足任务时间要求的前提下最小化能耗。在目标函数中添加能耗相关项,与跟踪误差等项共同优化。
- 结合太阳能充电预测,动态调整航速
:白天在充电区域降低航速,延长充电时间。通过建立太阳能充电模型,结合天气预报和地理位置信息,预测不同时刻的充电功率,合理规划航速以提高能源利用率。
- 将能耗模型纳入 MPC 目标函数
六、结论
模型预测控制凭借多约束处理、多目标优化与动态预测能力,为 USV 在复杂海洋环境中的自主控制提供了高效解决方案。从高精度路径跟踪到动态避障,MPC 均展现出优于传统控制方法的鲁棒性与适应性。尽管面临非线性计算、模型不确定性等挑战,但随着自适应算法、硬件加速、多智能体协同技术的发展,MPC 在 USV 自主控制中的应用将更加深入。未来,融合环境感知、能源优化与多艇协同的 MPC 框架,有望推动 USV 在海洋探测、安防巡逻等领域的智能化升级,实现更安全、高效、可持续的海洋任务执行。
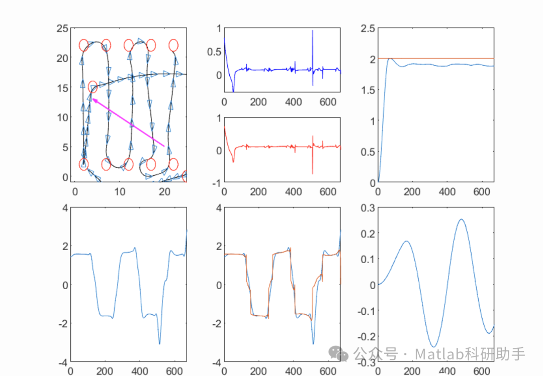
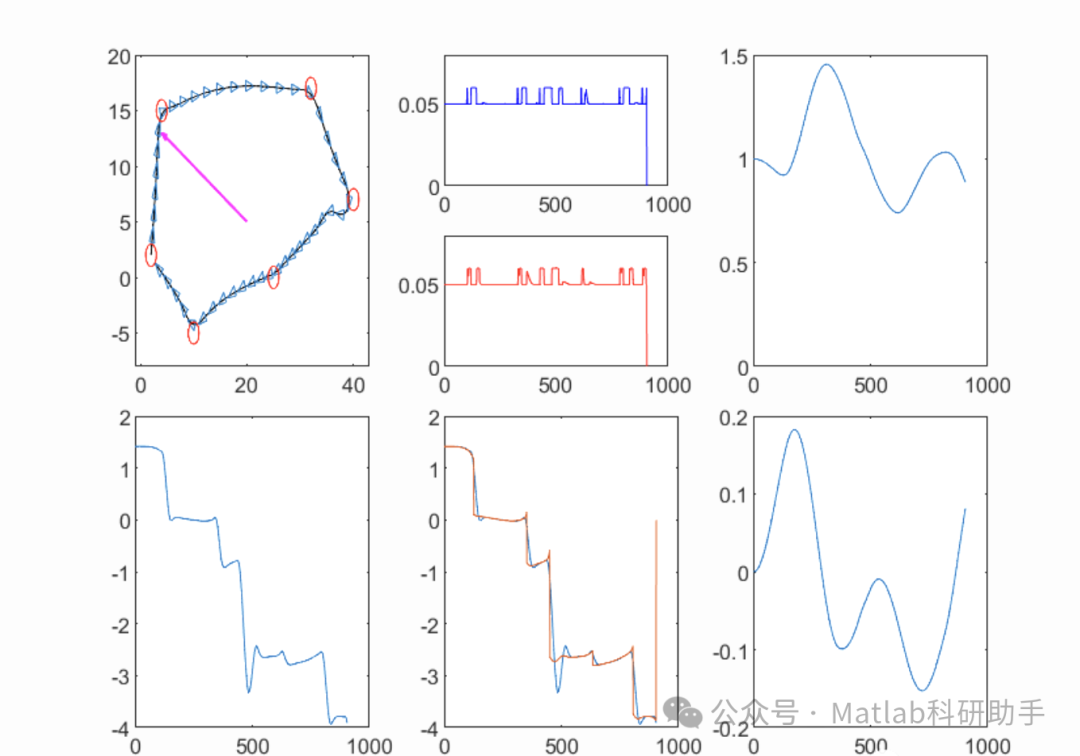
⛳️ 运行结果



🔗 参考文献
[1] 冯鑫,于双和.基于滑模预测控制的水面无人船轨迹跟踪研究[J].电光与控制, 2023, 30(9):92-98.
[2] 陈昱衡,张海成,邹伟生,等.基于学习型模型预测控制的无人船路径跟踪控制[J].中国造船, 2025(1).
[3] 李劲松,专祥涛,何志强.基于模型预测控制的水面无人船轨迹跟踪策略研究[J].武汉大学学报(工学版), 2025, 58(6).
📣 部分代码
🎈 部分理论引用网络文献,若有侵权联系博主删除
👇 关注我领取海量matlab电子书和数学建模资料
🏆团队擅长辅导定制多种科研领域MATLAB仿真,助力科研梦:
🌈 各类智能优化算法改进及应用
生产调度、经济调度、装配线调度、充电优化、车间调度、发车优化、水库调度、三维装箱、物流选址、货位优化、公交排班优化、充电桩布局优化、车间布局优化、集装箱船配载优化、水泵组合优化、解医疗资源分配优化、设施布局优化、可视域基站和无人机选址优化、背包问题、 风电场布局、时隙分配优化、 最佳分布式发电单元分配、多阶段管道维修、 工厂-中心-需求点三级选址问题、 应急生活物质配送中心选址、 基站选址、 道路灯柱布置、 枢纽节点部署、 输电线路台风监测装置、 集装箱调度、 机组优化、 投资优化组合、云服务器组合优化、 天线线性阵列分布优化、CVRP问题、VRPPD问题、多中心VRP问题、多层网络的VRP问题、多中心多车型的VRP问题、 动态VRP问题、双层车辆路径规划(2E-VRP)、充电车辆路径规划(EVRP)、油电混合车辆路径规划、混合流水车间问题、 订单拆分调度问题、 公交车的调度排班优化问题、航班摆渡车辆调度问题、选址路径规划问题、港口调度、港口岸桥调度、停机位分配、机场航班调度、泄漏源定位
🌈 机器学习和深度学习时序、回归、分类、聚类和降维
2.1 bp时序、回归预测和分类
2.2 ENS声神经网络时序、回归预测和分类
2.3 SVM/CNN-SVM/LSSVM/RVM支持向量机系列时序、回归预测和分类
2.4 CNN|TCN|GCN卷积神经网络系列时序、回归预测和分类
2.5 ELM/KELM/RELM/DELM极限学习机系列时序、回归预测和分类
2.6 GRU/Bi-GRU/CNN-GRU/CNN-BiGRU门控神经网络时序、回归预测和分类
2.7 ELMAN递归神经网络时序、回归\预测和分类
2.8 LSTM/BiLSTM/CNN-LSTM/CNN-BiLSTM/长短记忆神经网络系列时序、回归预测和分类
2.9 RBF径向基神经网络时序、回归预测和分类
2.10 DBN深度置信网络时序、回归预测和分类
2.11 FNN模糊神经网络时序、回归预测
2.12 RF随机森林时序、回归预测和分类
2.13 BLS宽度学习时序、回归预测和分类
2.14 PNN脉冲神经网络分类
2.15 模糊小波神经网络预测和分类
2.16 时序、回归预测和分类
2.17 时序、回归预测预测和分类
2.18 XGBOOST集成学习时序、回归预测预测和分类
2.19 Transform各类组合时序、回归预测预测和分类
方向涵盖风电预测、光伏预测、电池寿命预测、辐射源识别、交通流预测、负荷预测、股价预测、PM2.5浓度预测、电池健康状态预测、用电量预测、水体光学参数反演、NLOS信号识别、地铁停车精准预测、变压器故障诊断
🌈图像处理方面
图像识别、图像分割、图像检测、图像隐藏、图像配准、图像拼接、图像融合、图像增强、图像压缩感知
🌈 路径规划方面
旅行商问题(TSP)、车辆路径问题(VRP、MVRP、CVRP、VRPTW等)、无人机三维路径规划、无人机协同、无人机编队、机器人路径规划、栅格地图路径规划、多式联运运输问题、 充电车辆路径规划(EVRP)、 双层车辆路径规划(2E-VRP)、 油电混合车辆路径规划、 船舶航迹规划、 全路径规划规划、 仓储巡逻
🌈 无人机应用方面
无人机路径规划、无人机控制、无人机编队、无人机协同、无人机任务分配、无人机安全通信轨迹在线优化、车辆协同无人机路径规划
🌈 通信方面
传感器部署优化、通信协议优化、路由优化、目标定位优化、Dv-Hop定位优化、Leach协议优化、WSN覆盖优化、组播优化、RSSI定位优化、水声通信、通信上传下载分配
🌈 信号处理方面
信号识别、信号加密、信号去噪、信号增强、雷达信号处理、信号水印嵌入提取、肌电信号、脑电信号、信号配时优化、心电信号、DOA估计、编码译码、变分模态分解、管道泄漏、滤波器、数字信号处理+传输+分析+去噪、数字信号调制、误码率、信号估计、DTMF、信号检测
🌈电力系统方面
微电网优化、无功优化、配电网重构、储能配置、有序充电、MPPT优化、家庭用电
🌈 元胞自动机方面
交通流 人群疏散 病毒扩散 晶体生长 金属腐蚀
🌈 雷达方面
卡尔曼滤波跟踪、航迹关联、航迹融合、SOC估计、阵列优化、NLOS识别
🌈 车间调度
零等待流水车间调度问题NWFSP 、 置换流水车间调度问题PFSP、 混合流水车间调度问题HFSP 、零空闲流水车间调度问题NIFSP、分布式置换流水车间调度问题 DPFSP、阻塞流水车间调度问题BFSP
👇
1649

被折叠的 条评论
为什么被折叠?



