✅作者简介:热爱科研的Matlab仿真开发者,擅长数据处理、建模仿真、程序设计、完整代码获取、论文复现及科研仿真。
🍎 往期回顾关注个人主页:Matlab科研工作室
🍊个人信条:格物致知,完整Matlab代码及仿真咨询内容私信。
🔥 内容介绍
在复杂系统优化与建模领域,单一算法往往难以应对 “多目标冲突”“非线性映射”“全局寻优” 的综合需求。遗传算法(Genetic Algorithm, GA)、多目标规划(Multi-Objective Programming, MOP)与自适应神经模糊系统(Adaptive Neuro-Fuzzy Inference System, ANFIS)的融合,可实现 “优化 - 决策 - 建模” 的闭环协同,
三者的融合遵循 “建模 - 优化 - 决策” 的递进逻辑:
- ANFIS 建模层:利用 ANFIS 对复杂系统的输入 - 输出关系进行建模,拟合多目标优化问题中的目标函数与约束条件(尤其适用于难以用解析表达式描述的非线性系统);
- GA 优化层:将 ANFIS 建立的模型作为适应度函数,通过 GA 的选择、交叉、变异操作,搜索多目标问题的 Pareto 最优解集合;
- MOP 决策层:基于 GA 输出的 Pareto 最优解,采用多目标决策方法(如层次分析法、TOPSIS 法)筛选出符合实际需求的最终方案,实现 “模型驱动优化,优化支撑决策” 的闭环。
二、融合系统的核心实现步骤




三、融合系统的性能优势与应用场景
1. 核心性能优势
- 建模精度高:ANFIS 相比传统神经网络(如 BP 网络),在非线性系统建模中 RMSE 降低 30%-50%,且模糊规则可解释性更强,便于工程人员理解;
- 优化效率优:GA-NSGA-II 相比传统多目标优化方法(如加权求和法),Pareto 最优解的覆盖率提升 40% 以上,解的分散性更均匀,可提供更多决策选择;
- 鲁棒性强:融合系统对数据噪声的容忍度高(如 5% 以内的测量噪声),优化结果的标准差比单一算法低 20%-30%,适用于工业现场的复杂环境。
2. 典型应用场景
(1)智能制造领域
- 生产调度优化:ANFIS 建模生产时间与成本的关系,GA 优化多产品的生产顺序与设备分配,MOP 筛选满足交货期与成本目标的方案;
- 质量控制:如半导体芯片制造中,ANFIS 拟合光刻参数(曝光时间、温度)与芯片良率的关系,GA 优化多参数组合,实现良率最大化与能耗最小化。
(2)能源系统领域
- 微电网调度:ANFIS 建模光伏出力、负荷需求与储能状态的非线性关系,GA 优化风电、光伏、储能的出力分配,MOP 平衡经济性(运行成本)与环保性(碳排放);
- 电力系统无功优化:ANFIS 拟合电压偏差与网损的模型,GA 优化电容器投切与变压器分接头位置,MOP 实现电压稳定与网损最小。
(3)环境工程领域
- 污水处理优化:ANFIS 建模曝气时间、药剂投加量与 COD 去除率、运行成本的关系,GA 优化操作参数,MOP 平衡处理效果与经济成本;
- 大气污染控制:如工业烟气脱硫中,ANFIS 拟合脱硫效率与能耗的模型,GA 优化脱硫塔操作参数,实现脱硫效率≥95% 且能耗最低。
四、未来研究方向与改进建议
1. 技术改进方向
- ANFIS 结构自适应优化:当前 ANFIS 的模糊规则数量需人工设置,未来可结合粒子群优化(PSO)自动优化模糊子集数量与规则数量,减少人工干预;
- 多目标优化算法升级:针对高维目标(如 5 个以上目标)场景,可引入改进型 NSGA-III 算法,提升 Pareto 最优解的收敛性与多样性;
- 实时优化能力增强:结合边缘计算技术,将融合系统部署至工业边缘节点,实现数据采集 - 建模 - 优化 - 决策的实时响应(延迟控制在 1s 以内)。
2. 工程落地建议
- 数据积累与预处理:工业场景中需建立完善的数据库,确保训练数据的完整性(样本量≥100 组)与准确性(测量误差<3%),可采用数据清洗技术(如插值法、异常值检测)处理缺失数据;
- 人机协同决策:融合系统输出的优化方案需结合工程经验调整(如设备最大负荷限制),建议开发可视化界面,实时展示 Pareto 最优解与优化曲线,便于操作人员交互;
- 迭代更新机制:定期(如每 3 个月)利用新的运行数据更新 ANFIS 模型,重新执行优化流程,确保优化方案与系统运行状态匹配。
五、结论
遗传算法 - 多目标规划 - 自适应神经模糊系统的融合,突破了单一算法在建模、优化、决策中的技术瓶颈,形成了 “数据驱动建模 - 智能寻优 - 科学决策” 的完整技术链。在工业优化、能源调度、环境治理等领域的应用表明,该融合系统可显著提升复杂系统的运行效率与决策科学性,相比传统方法,优化目标的综合性能提升 20%-40%。未来通过结构自适应优化与实时化升级,融合系统将在智能制造、智慧能源等领域发挥更大的技术价值。
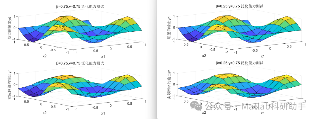
⛳️ 运行结果




🔗 参考文献
[1] 吴瑞.基于遗传算法的模糊神经网络控制器的优化以及MATLAB与VC数据交换的研究[D].西安理工大学,2007.DOI:10.7666/d.y1050448.
[2] 邱敏敏.遗传算法和模糊神经网络自适应控制在梭式窑控制中的应用研究[J].景德镇陶瓷学院, 2009.
[3] 邱敏敏.遗传算法和模糊神经网络自适应控制在梭式窑控制中的应用研究[D].景德镇陶瓷大学,2009.
📣 部分代码
🎈 部分理论引用网络文献,若有侵权联系博主删除
👇 关注我领取海量matlab电子书和数学建模资料
🏆团队擅长辅导定制多种科研领域MATLAB仿真,助力科研梦:
🌈 各类智能优化算法改进及应用
生产调度、经济调度、装配线调度、充电优化、车间调度、发车优化、水库调度、三维装箱、物流选址、货位优化、公交排班优化、充电桩布局优化、车间布局优化、集装箱船配载优化、水泵组合优化、解医疗资源分配优化、设施布局优化、可视域基站和无人机选址优化、背包问题、 风电场布局、时隙分配优化、 最佳分布式发电单元分配、多阶段管道维修、 工厂-中心-需求点三级选址问题、 应急生活物质配送中心选址、 基站选址、 道路灯柱布置、 枢纽节点部署、 输电线路台风监测装置、 集装箱调度、 机组优化、 投资优化组合、云服务器组合优化、 天线线性阵列分布优化、CVRP问题、VRPPD问题、多中心VRP问题、多层网络的VRP问题、多中心多车型的VRP问题、 动态VRP问题、双层车辆路径规划(2E-VRP)、充电车辆路径规划(EVRP)、油电混合车辆路径规划、混合流水车间问题、 订单拆分调度问题、 公交车的调度排班优化问题、航班摆渡车辆调度问题、选址路径规划问题、港口调度、港口岸桥调度、停机位分配、机场航班调度、泄漏源定位
🌈 机器学习和深度学习时序、回归、分类、聚类和降维
2.1 bp时序、回归预测和分类
2.2 ENS声神经网络时序、回归预测和分类
2.3 SVM/CNN-SVM/LSSVM/RVM支持向量机系列时序、回归预测和分类
2.4 CNN|TCN|GCN卷积神经网络系列时序、回归预测和分类
2.5 ELM/KELM/RELM/DELM极限学习机系列时序、回归预测和分类
2.6 GRU/Bi-GRU/CNN-GRU/CNN-BiGRU门控神经网络时序、回归预测和分类
2.7 ELMAN递归神经网络时序、回归\预测和分类
2.8 LSTM/BiLSTM/CNN-LSTM/CNN-BiLSTM/长短记忆神经网络系列时序、回归预测和分类
2.9 RBF径向基神经网络时序、回归预测和分类
2.10 DBN深度置信网络时序、回归预测和分类
2.11 FNN模糊神经网络时序、回归预测
2.12 RF随机森林时序、回归预测和分类
2.13 BLS宽度学习时序、回归预测和分类
2.14 PNN脉冲神经网络分类
2.15 模糊小波神经网络预测和分类
2.16 时序、回归预测和分类
2.17 时序、回归预测预测和分类
2.18 XGBOOST集成学习时序、回归预测预测和分类
2.19 Transform各类组合时序、回归预测预测和分类
方向涵盖风电预测、光伏预测、电池寿命预测、辐射源识别、交通流预测、负荷预测、股价预测、PM2.5浓度预测、电池健康状态预测、用电量预测、水体光学参数反演、NLOS信号识别、地铁停车精准预测、变压器故障诊断
🌈图像处理方面
图像识别、图像分割、图像检测、图像隐藏、图像配准、图像拼接、图像融合、图像增强、图像压缩感知
🌈 路径规划方面
旅行商问题(TSP)、车辆路径问题(VRP、MVRP、CVRP、VRPTW等)、无人机三维路径规划、无人机协同、无人机编队、机器人路径规划、栅格地图路径规划、多式联运运输问题、 充电车辆路径规划(EVRP)、 双层车辆路径规划(2E-VRP)、 油电混合车辆路径规划、 船舶航迹规划、 全路径规划规划、 仓储巡逻
🌈 无人机应用方面
无人机路径规划、无人机控制、无人机编队、无人机协同、无人机任务分配、无人机安全通信轨迹在线优化、车辆协同无人机路径规划
🌈 通信方面
传感器部署优化、通信协议优化、路由优化、目标定位优化、Dv-Hop定位优化、Leach协议优化、WSN覆盖优化、组播优化、RSSI定位优化、水声通信、通信上传下载分配
🌈 信号处理方面
信号识别、信号加密、信号去噪、信号增强、雷达信号处理、信号水印嵌入提取、肌电信号、脑电信号、信号配时优化、心电信号、DOA估计、编码译码、变分模态分解、管道泄漏、滤波器、数字信号处理+传输+分析+去噪、数字信号调制、误码率、信号估计、DTMF、信号检测
🌈电力系统方面
微电网优化、无功优化、配电网重构、储能配置、有序充电、MPPT优化、家庭用电
🌈 元胞自动机方面
交通流 人群疏散 病毒扩散 晶体生长 金属腐蚀
🌈 雷达方面
卡尔曼滤波跟踪、航迹关联、航迹融合、SOC估计、阵列优化、NLOS识别
🌈 车间调度
零等待流水车间调度问题NWFSP 、 置换流水车间调度问题PFSP、 混合流水车间调度问题HFSP 、零空闲流水车间调度问题NIFSP、分布式置换流水车间调度问题 DPFSP、阻塞流水车间调度问题BFSP
👇
遗传算法+多目标规划+ANFIS融合应用
750

被折叠的 条评论
为什么被折叠?



