3D visual discomfort predictor based on subjective perceived-constraint sparse representation in 3D display system
题目:基于主观主观感知约束的稀疏表示的3D不适度预测
SPCSR:主观感知限制的稀疏表示。包括两个阶段,训练阶段:获取特征,建立感知字典和对应的感知数值。测试阶段:使用稀疏编码算法计算稀疏系数,用稀疏系数和感知数值的权重值计算舒适度分数。
数据库:IVY LAB和NBU
V1:双目融合的发生最初是在V1区域,该区域的神经元会对刺激的位置选择性的做出反应,这一特性满足稀疏编码的属性。
整体框图:

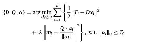
其中,字典训练模块:

V1区的特征提取:

视差特征:从e图中提取视差尺寸,视差均值,大于%k的视差均值,小于%k的视差均值,范围,离散度,偏度。
空间频率特征:计算相位一致图并且结合全局视差,平均绝对值,平均值,方差,前%k均值,后%k均值,视差范围。
共13维。
实验部分:
1.两个数据库的Plcc,Srocc,Rmse。

2.阈值选择。
3.分别使用视觉重要性视差特征和空间频率视差特征,重复1。
阅读笔记:3D visual discomfort predictor based on subjective perceived-constraint sparse representation
最新推荐文章于 2026-01-07 22:31:41 发布
本文提出一种基于主观感知约束的稀疏表示方法,用于预测3D显示系统的视觉不适度。通过字典训练和测试阶段,利用V1区特征提取,如视差和空间频率特征,来计算舒适度分数。
356

被折叠的 条评论
为什么被折叠?



