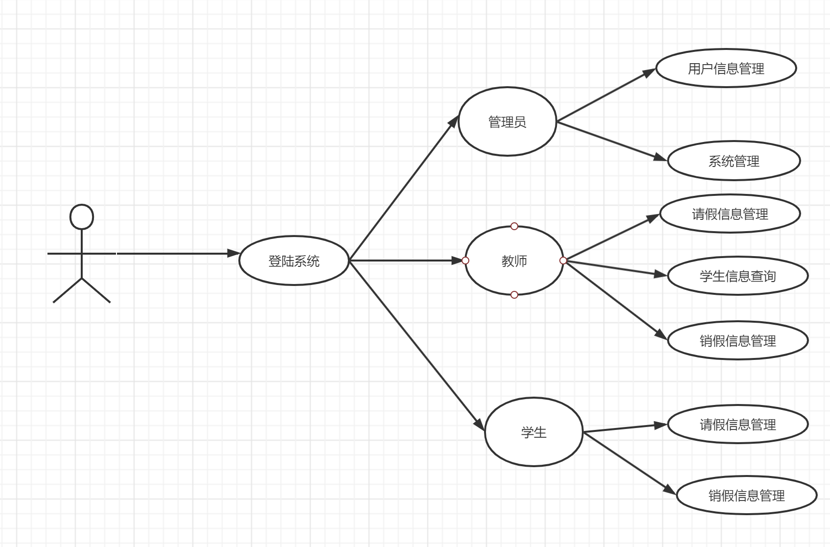
系统功能
管理员功能:系统维护、用户权限管理、请假信息管理、销假信息管理、用户信息管理。学生功能:请假信息申请、我的申请查询、审核信息查询、销假信息申请。教师功能:学生信息查询、请假信息管理、销假信息管理、个人中心。
作者:计算机搬砖家
开发技术:SpringBoot、php、Python、小程序、SSM、Vue、MySQL、JSP、ElementUI等,“文末源码”。专栏推荐:SpringBoot项目源码、Vue项目源码、SSM项目源码、微信小程序源码
精品专栏:Java精选实战项目源码、Python精选实战项目源码、大数据精选实战项目源码
技术栈
开发语言:java,JDK版本>=1.8即可
框架:SSM
服务器:Tomcat7(包含环境配置)
开发框架:Spring Boot框架
数据库:MySql
数据库工具:Navicat11
开发软件:eclipse/myeclipse/idea
Maven包:Maven3.3.9
系统展示





文档目录
1.绪论
1.1研究背景
1.2国内外研究现状
1.3研究的意义和价值
1.4主要研究内容
1.5开发技术
2.系统需求分析
2.1系统开发的可行性分析
2.2系统用户与权限的需求分析
2.3系统功能需求分析
2.4各功能的需求分析
3.系统详细设计
3.1开发环境
3.2数据库设计
4.系统功能实现
4.1登录模块
4.2学生模块
4.3教师模块
5.总结与展望
获取源码
一键三连哦~~

1081

被折叠的 条评论
为什么被折叠?



