var code = "708fbcd6-392d-4e1e-be86-072ebed56ce5"
xPredIntraPlanar函数
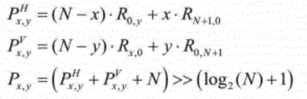
实现功能:Planar模式的预测
对应的公式:

Void TComPrediction::xPredIntraPlanar( Int* pSrc, Int srcStride, Pel* rpDst, Int dstStride, UInt width, UInt height )
{
assert(width == height);
// k,l表示行和列
// bottomLeft和topRight表示左下、右上像素值
Int k, l, bottomLeft, topRight;
Int horPred;
Int leftColumn[MAX_CU_SIZE], topRow[MAX_CU_SIZE], bottomRow[MAX_CU_SIZE], rightColumn[MAX_CU_SIZE];
UInt blkSize = width;
UInt offset2D = width;
// shift1D 表示 width对应的位数
// g_aucConvertToBit(x) 函数:log2(x)-2
UInt shift1D = g_aucConvertToBit[ width ] + 2;
UInt shift2D = shift1D + 1;
// 获取左侧列和上方行的参考数组
for(k=0;k<blkSize+1;k++)
{
// srcStride 表示 pSrc数组的跨度
topRow[k] = pSrc[k-srcStride];
leftColumn[k] = pSrc[k*srcS

本文详细介绍了视频编码中Planar模式预测算法的实现过程。该算法通过利用块边界像素值进行插值运算,生成预测信号,适用于相同尺寸的块预测。
最低0.47元/天 解锁文章
909

被折叠的 条评论
为什么被折叠?



